阿摩線上測驗
登入
首頁
>
數論
> 107年 - 107 國家安全情報特種考試_三等_數理組:數論#74240
107年 - 107 國家安全情報特種考試_三等_數理組:數論#74240
科目:
數論 |
年份:
107年 |
選擇題數:
0 |
申論題數:
7
試卷資訊
所屬科目:
數論
選擇題 (0)
申論題 (7)
一、畢氏三角形為一個直角三角形,其三邊長度都是整數,證明畢氏三角形 內接圓的半徑一定是整數。(15 分)
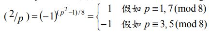
二、證明若 p 是一個奇質數,則雷建得符號(Legendre symbol)
三、⑴將 gcd(12378,3054)寫成 12378 和 3054 的線性組合。(10 分)
⑵求正整數 k, l, m, n 滿足 k
2
+ l
2
+ m
2
+ n
2
= 9828。(15 分)
四、⑴證明 41 可以整除2
20
‒1。(10 分)
⑵運用 Fermat 的方法因式分解數字 119143。(10 分)
五、證明若 x
1
, y
1
是 x
2
‒ dy
2
= 1 的原始解(fundamental solution),則此方程 式的正整數解 x
n
, y
n
可以由方程式 x
n
+ y
n
√d = ( x
1
+ y
1
√d )
n
, n = 1, 2, 3…求 得。(20 分)
相關試卷
114年 - 114 國家安全情報特種考試_三等_數理組(選試英文):數論#127779
114年 · #127779
105年 - 105 國家安全情報特種考試_三等_數理組:數論#55617
105年 · #55617
104年 - 104 國家安全情報特種考試_三等_數理組:數論#42733
104年 · #42733
103年 - 103 國家安全情報特種考試_三等_數理組:數論#43241
103年 · #43241
102年 - 102 國家安全情報特種考試_三等_數理組:數論#44082
102年 · #44082
101年 - 101 國家安全情報特種考試_三等_數理組:數論#44636
101年 · #44636
100年 - 100 國家安全情報特種考試_三等_數理組:數論#45335
100年 · #45335
99年 - 99 國家安全情報特種考試_三等_數理組:數論#46534
99年 · #46534