所屬科目:國營事業◆1.應用力學 2.材料力學
1. 如右圖所示,一鋼板緊密置於柔性材料上,今施一剪力 3 V 於鋼板上,其水平位移 δ 為何? (G 為柔性材料之剪力彈性模數)(A)(B)(C)(D)
2. 長方體桿件如右圖所示,尺寸a = 2000 mm,b = 60 mm,c = 120 mm,柏松比ν = 0.33, 若桿件於 y 向受軸力作用後伸長 0.15 mm,求 z 向尺寸變化為何? (A)1.49✖10-3 mm 縮短 (B) 2.97 × 10−3 mm 縮短(C)1.49 × 10−3 mm 伸長 (D) 2.97 × 10−3 mm 伸長
3. 右圖桿件中,若截面積 彈性模數 E,求桿件應變能 (Strain energy) 為何?(A)(B)(C)(D)
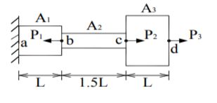
4. 如右圖所示,於組合桿件之自由端施一水平力 700 kN,截面積求總變形量為何? (A) 0.001 m (B) 0.004 m (C) 0.018 m (D) 0.038 m
5如右圖所示,於組合桿件之自由端施一水平力 700 kN,截面積求總變形量為何? (A) 0.001 m (B) 0.004 m (C) 0.018 m (D) 0.0038 m
6. 右圖中,桿件 ab 為剛體,由兩條材質相同之繩索固定,今於桿件 b 端施一垂直力 2P ,造成 繩索降伏,若繩索之降伏應力為σ Y,求降伏載重 Py 為何?(A)(B)(C)(D)
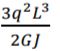
8. 右圖中,長 2 L 之桿件,剪力彈性模數 G ,極慣性矩 J,受均佈扭力 q 作用下,求桿件 B 點 之應變能為何? (A) (B)(C)(D)
9. 右圖中,懸臂空心圓桿受均佈扭力 求 B 點之扭轉角為何?(A) (B)(C)(D)
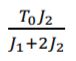
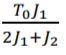
10. 如右圖所示,桿件 AB 之極慣性矩為 J1,桿件 BC 之極慣性矩為 J2,今施一扭矩 T0 於桿件上 ,求固定端 A 之反力為何?(A)(B)(C)(D)
11. 如右圖所示,若薄壁斷面之容許剪應力為 求其能承受之最大扭矩為何? (A) 1382.6 kg ⋅ cm (B) 1497.6 kg ⋅ cm (C) 1573.6 kg ⋅ cm (D) 1662.6 kg ⋅ cm
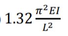
12. 右圖中,懸臂梁長 L,抗撓剛度 3 EI ,垂直力 2 P 作用於懸臂梁中點 B, 求自由端 C 之垂直位移為何? (A)(B)(C)(D)
13. 右圖為一簡支梁,受均佈載重 q 之作用下,求梁內最大撓曲正向應力為何? (A) 154.29 kPa (B) 177.47 kPa (C) 189.13 kPa (D) 211.63 kPa
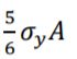
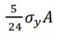
14. 右圖中,若桿件降伏應力為σy,求極限載重為何?(A)(B)(C)(D)
15. 如右圖所示,桿件於自由端承受垂直載重,斷面由兩種不同金屬材料緊密接合,其彈性模數 ,求固定端處之斷面曲率為何? (A) (B)(C)(D)
16. 如右圖所示,求最大主應力各為何? (A)(B)(C)(D)
17. 如右圖所示,求最大剪應力之值為何? (A) 30 MPa (B) 40 MPa (C) 50 MPa (D) 60 MPa
18. 如右圖所示,求 θ = 30° 之σ30°為何? (A) 5041.38 psi (B) 5127.98 psi (C) 5214.58 psi (D) 5301.18 psi
19. 已知 為何?(A) 0.0034 (B) 0.0022 (C) 0.0013 (D) 0.0003
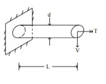
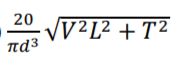
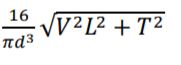
20. 右圖為一直徑 d 之圓桿,受垂直力 V 及扭矩 T 之作用, 求最大剪應力之值為何?(A)(B)(C)(D)
21. 如右圖所示之結構梁,於BC段受一均佈載重w, 其下列彎矩圖何者正確? (A) (B) (C) (D)
22. 如右圖所示之結構梁,受一均佈載重 w ,則下列剪力圖何者正確? (A) (B) (C) (D)
23. 如右圖所示,柱之軸向負載 P 為將發生挫屈 (Buckling) 之臨界負載,長度為 L , 此柱有效長度因數 (Effective-length factor) 之係數 K 為何? (A) 0.5 (B) 0.7 (C) 1.0 (D) 2.0
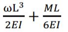
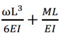
24. 如右圖所示之一懸臂梁長 L ,抗撓剛度為 EI ,受均佈載重 ω 及自由端彎矩 M 之作用, 求 A 點之轉角為何?(A)(B)(C)(D)
25. 如右圖所示,求結構系統之挫屈載重 Pcr為何?(A)(B)(C)(D)
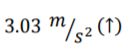
26. 如右圖所示,若系統由靜止開始啟動,求 A 移動 2 公尺時之速度為何?(A)(B)(C)(D)
27. 如右圖所示,一直徑 2.5 m,重量 300 N 之均勻圓盤,受水平力 T 作用,已知接觸點A為粗糙 的,且圓盤於 A 點無滑動,若圓盤要滾上高度為 0.5 m 之台階,其水平力 T 最少應為何? (A) 75 N (B) 150 N (C) 200 N (D) 250 N
28. 如右圖所示,一平面桁架受水平力 30 kN,求桿件 CD 之力量為何? (A) (B)(C)(D)
29. 如右圖所示,一重量為 800 N 之物體,置於牆面及地面上,其與牆面摩擦係數為 0.25, 與地面摩擦係數為 0.35 ,若欲使物體向右移動,推力 P 最小為何? (A) 681.54 N (B) 698.13 N (C) 726.54 N (D) 781.63 N
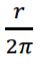
30. 下列何者為迴轉半徑 (Radius of gyration) 之單位? (A) m (B)m2(C)(D)
31. 如右圖所示,一質量塊為 600 kg,以不能伸長之兩細繩懸吊著, 在平衡狀態下細繩之張力,下列何者正確?(A)(B)(C)(D)
32. 如右圖所示,一質點重量為 W ,半徑為 r ,以等速 V 沿水平圓形路徑移動,當 t = 0 時, 該質點在 x 軸上,其運動關係式以直角坐標描述,下列何者正確?(A)(B)(C)(D)
33. 如右圖所示,求形心 c 與 x 軸之距離值為何?(A)(B)(C)(D)
35. 如右圖所示之桁架,於 E 點施一向下垂直力 P,求內力為零之桿件數目為何? (A) 0 (B) 1 (C) 2 (D) 3
36. 如右圖所示之矩形桁架,在水平力 P 作用下,下列何者為零力桿件? (A) a (B) b (C) c (D) d
37. 如右圖所示之均質桿件AB ( L = 0.6 m,m = 0.48 kg ),靜置於光滑水平面上,於時間 t = 0時受 外力 F = 10 N 作用下開始起動,求起動瞬間之角加速度為何?(A)(B)(C)(D)
38. 試求右圖對 y 軸之斷面慣性矩 Iy為何?(單位:cm )(A) 6624cm2 (B) 6736cm2 (C) 6751cm2 (D) 6859cm2
40. 如右圖所示, B 點受向下垂直力 845 kN ,求繩索張力 分別為何? (A) 315 kN;775 kN (B) 575 kN;305 kN (C) 685 kN;225 kN (D) 780 kN;325 kN
42. 如右圖,半徑 5 m之皮帶輪,拉力對其中心點 C 所產生之 力矩為何? (A) 200 ton ⋅ m (B) 400 ton ⋅ m (C) 600 ton ⋅ m (D) 800 ton ⋅ m
43. 如右圖所示,重 900 lbf 之球體,半徑為 6 in ,藉由彈簧水平支撐靜止於傾斜 光滑面上,其彈簧力 Fs為何? (A) 540 lbf (B) 675 lbf (C) 720 lbf (D) 1200 lbf
45. 重量為 W 之物體,在半徑 r 之圓周上作等速運動,角速度為 ω ,則此物體之向心力為何?(A)(B)(C)(D)
46. 如右圖所示,桿件 AB 質量為 10 kg,左端 A由重量極小之繩索所懸吊,右端 B 由徑度 k 之 彈簧所支撐,當繩索斷裂瞬間,桿件 AB 之角加速度為何?(A)(B)(C)(D)
47. 一物體之位移函數1,其中 X 單位為公尺 ( m ), t 單位為秒 (s) , 當 t = 2 時之加速度為何? (A)(B)(C)(D)
49. 如右圖所示,桁架受垂直力 P 作用,請問各桿件受力情形為下列何者? (A) a 桿受拉,b 桿受壓,c 桿受壓 (B) a 桿受拉,b 桿受壓,c 桿受拉 (C) a 桿受壓,b 桿受拉,c 桿受壓 (D) a 桿受壓,b 桿受壓,c 桿受拉
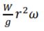
50. 如右圖所示,A、B、C 三物體質量分別為 10 kg、20 kg 及 30 kg,滑輪質量與摩擦力均不計, 三物體由圖示位置靜止釋放,求物體 A 之加速度為何?(A)(B)(C)(D)