所屬科目:國營事業◆1.應用力學 2.材料力學
3. 一滑車如下圖所示,彈簧彈力常數分別為k1、k2、k3,求其組合彈力常數? (A) k1+k2+k3 (B) (C)(D)
5. 一質量M物體,距離地面高度h處自由落下,若以地面為零位面且不計空氣阻力,重力加速度為g,當下降至h/2時,物體之總能量為何? (A) Mgh (B) (C) (D)
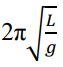
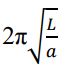
6. 一單擺長度L被懸掛在電梯之天花板上,假設電梯以加速度a向上加速,重力加速度為g,此單擺之週期為何? (A) (B) (C)(D)
8. 如下圖所示,一懸臂梁受兩相等F力作用時,下列有關固定端垂直反力及彎矩之描述,何者正確? (A)垂直反力及彎矩均為零 (B)垂直反力及彎矩均不為零 (C)垂直反力不為零、彎矩為零 (D)垂直反力為零、彎矩不為零
9. 一旋轉唱片盤,於經過??秒所轉動之角度為θ(t) = 4t3 + 2t2 − t,求t= 2秒之角速度為何? (A) 38 rad/s (B) 52 rad/s (C) 55 rad/s (D) 60 rad/s
10. 一單對稱T形斷面如下圖所示,yc為其形心軸位置,求對應其形心軸之慣性矩為何? (A) 457 cm4 (B) 560 cm4 (C) 829 cm4 (D) 976 cm4
12. 如下圖所示,一點受P、Q兩力作用,求其合力大小為何? (A) 18 N (B) 20 N (C) 21.06 N (D) 29.93 N
16. 一懸臂梁受三角形分佈載重為w,如下圖所示,其固定端之彎矩值為何? (A)(B)(C) (D)
18. 如下圖所示,一木塊重量為100 N與桌面之最大靜摩擦係數為0.3,以繩懸吊一物體W = 20 N, 系統力平衡,求木塊所受之摩擦力為何? (A) 20 N (B)N (C) 30 N (D)N
20. 如下圖所示一斷面,其形心位置(x,y)之值為何? (A) (6 , 1) (B) (4.2 , 3.8) (C) (3.8 , 4.2) (D) (6 , 6.5)
22. 一均勻細直桿之質量為m,長度為L,如細桿繞桿端點旋轉,其轉動慣量為何? (A)(B) (C) (D)
24. 一桁架結構受力如下圖所示,桿件GH之軸向力為多少? (A) kN(壓力) (B)kN(拉力) (C) 17 kN(壓力) (D) 17 kN(拉力)
25. 一剛架結構受力如下圖所示,接點C之內彎矩為何? (A) 24 kN-m (B) 48 kN-m (C) 64 kN-m (D) 112 kN-m
26. 一正方形斷面之混凝土短柱,混凝土抗壓強度為 = 280 kgf/cm2 ,若混凝土容許抗壓強度為 0.85 ,承受軸向壓力600 tf,則此正方形斷面至少需要多少邊長? (A) 40 cm (B) 46.3 cm (C) 48.2 cm (D) 50.2 cm
28. 如下圖所示,一等斷面懸臂梁,長度為150 cm,斷面為30 cm × 60 cm,承受一集中力P = 180 tf ,若不計梁自重,則梁內最大剪應力為何? (A) 100 kgf/cm2 (B) 120 kgf/cm2 (C) 150 kgf/cm2 (D) 200 kgf/cm2
30. 如下圖所示,一等斷面懸臂梁,長度為250 cm,斷面直徑為10 cm,梁中間承受一集中力 P = 785 kgf,若不計梁自重,梁內最大剪應力約為多少?(A) 10 kgf/cm2 (B) 12 kgf/cm2 (C) 13.3 kgf/cm2 (D) 15 kgf/cm2
32. 一平面應力元素如下圖所示,求最大剪應力之值為何? (A) 100 MPa (B) 160 MPa (C) 200 MPa (D) 210 MPa
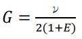
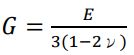
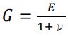
34. G為剪力模數,E為彈性模數,ν為柏松比(Poisson’s Ratio),對於等向性材料,三者並非獨立 而有一關係式,此關係式為下列何者? (A)(B) (C)(D)
35. 如下圖所示,一無質量剛性柱頂端受P力作用,柱側向有一水平彈簧作用,其勁度為k,求系統之臨界挫屈荷重Pcr為何? (A)(B)(C) (D)
36. 如下圖所示,桿件由一固定端懸垂下來,彈性模數為E,單位重為γ,斷面積為A,桿件長度 為L,桿件受自重作用伸長,如欲以外力P抵消自重伸長之效應,請問外力P需施加多少? (A) (B) (C) (D)
38. 如下圖所示,懸臂梁C點受一集中力P作用,求B點之變位為何? (A) (B) (C) (D)
39. 如下圖所示,一軸力桿件兩端以鉸支承連接,斷面剛度為EI,斷面積為A,長度為L,桿件熱膨脹係數為α,當桿件加熱ΔΤ後達臨界挫屈荷重,求ΔΤ為何? (A)(B) (C) (D)
40. 一軸向桿件斷面為A = 0.04 m2 ,彈性模數為E = 193 GPa,= 0.29,當桿件受一軸向拉力為 3000 kN作用時,側向應變為何? (A) (B)(C) (D)
42. 如下圖所示,一圓管軸承斷面受扭矩T,外半徑為0.025 m,內半徑為0.015 m,若最大扭轉剪應力不得超過110 MPa,求斷面所能施加之最大扭矩為何? (A) 1700 N-m (B) 1900 N-m (C) 2350 N-m (D) 2936 N-m
43. 如下圖所示,以45o 應變規瓣測量構件表面某點之應變,得到各應變計讀數為 ,,求其最大剪應變為何? (A) (B) (C) (D)
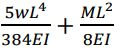
44. 如下圖所示,一長度為L之簡支梁承受均佈載重為w,梁兩端承受大小相等、方向相反之彎矩 為M,若斷面剛度EI為定值,其梁中點之撓度為何? (A) (B) (C)(D)
45. 如下圖所示,梁結構之靜不定度為何? (A) 0 (B) 1 (C) 2 (D) 3
46. 如下圖所示,一方形箱型梁受剪力V = 28 kip,厚度為1 in,邊長為12 in,求其最大剪應力τmax 為何? (A) 0.71 ksi (B) 1.32 ksi (C) 1.42 ksi (D) 2.84 ksi
48. 圓形斷面之直徑為d,此斷面對圓心之極慣性矩為何? (A) (B) (C) (D)
49. 一懸臂支撐外伸梁如下圖所示,求B點支承反力為何? (A) 20 kN (B) 40 kN (C) 60 kN (D) 80 kN