所屬科目:國營事業◆1.應用力學 2.材料力學
1. 假設一角錐體長度為a、寬度為b、高為h,請問該角椎體形心與其頂點距離為何?(A) 2h / 3 (B) h / 3 (C) 3h / 4 (D) h / 4
2. 如右圖所示,有一簡易擺錘重 5 lb、長度3’,θ= 45°時,擺錘之速度為8 ft/sec, 試求在此瞬間其纜線之拉力為何? (A) 5.9 lb (B) 6.9 lb (C) 7.9 lb (D) 8.9 lb
3. 如右圖所示之凹槽底邊寬45 cm,大圓柱40 kg、直徑36 cm;小圓柱10 kg、 直徑24 cm,若接觸面均為光滑面,試求B處受力約為何?(A) 8.5 kg (B) 9.5 kg(C) 10.5 kg (D) 11.5 kg
4. 如右圖所示,有一長度L之懸臂梁於自由端受集中荷重P作用,產生撓度δ;則同樣斷面梁長為2L時,欲使自由端撓度為2δ,試求荷重P為多少倍?(A) 1 / 4 倍 (B) 1 / 2 倍 (C) 2倍 (D) 4倍
5. 如右圖所示之均勻懸臂梁,該梁斷面之慣性矩為I,楊氏模數為E,若於其自由端施加集中載重P及彎矩PL,只考慮撓曲變 位,試問自由端B處之垂直變位為何? (A)向上 (B) 向上 (C)向下 (D)向下
6. 如右圖所示,桁架中零力桿數量為何?(A) 4 (B) 5(C) 6 (D) 7
7. 某人重75 kgw站在升降梯之彈簧秤上,已知升降梯吊纜上張力為8300 N,g為9.8 m/s2,升降 梯加上人與秤之質量共750 kg,則此時秤上之讀數應為多少? (A) 80.3 kgw (B) 84.7 kgw (C) 90.5 kgw (D) 98.1 kgw
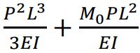
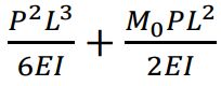
8. 如右圖所示,有一長度為L之懸臂梁,其楊氏模數為E,慣性矩為I,在自由端受到集中載重P與彎矩MO作用,若忽略剪力之影響,則此梁之應變能為何? (A)(B)(C)(D)
9. 如右圖所示,有一長度L之均勻簡支梁AB,於A端距離 a = 3 / 4 L處施加一逆時鐘方向力矩MO,有關力矩MO作用點之敘述下列何者正確? (A)轉角不連續 (B)剪力為零 (C)位移為零 (D)彎矩不連續
10. 如右圖所示之剛性桿件及滑輪組件,其結構與物件處於平 衡狀態,其中W2係透過C處之滑輪懸掛於右邊繩索下,假設W1重量為500 kg,在忽略桿件AB與各繩索重量之情況下 ,請問W2之重量為何? (A) 1316 kg (B) 1366 kg (C) 1416 kg (D) 1466 kg
11. 如右圖所示,有一承受三角形分佈載重之簡支梁,試求 最大彎矩發生之位置距B端多少? (A) 1.55 m (B) 2.54 m (C) 3.46 m (D) 4.45 m
12. 如右圖所示,假設梁長為L,其勁度為EI,當一力P作用於懸臂梁中點B時, 試求B點之垂直位移為何? (A) (B)(C)(D)
13. 如右圖所示為一平板之受力情形,下列敘述何者有誤?(A)槽愈深,應力愈集中(B)槽底之圓半徑愈小,應力愈集中(C)槽所開之角度愈大,應力愈集中(D)槽所開之角度愈小,應力愈集中
14. 如右圖所示之簡支梁,其上受一均佈負載1000 lb / ft,此時梁本身之重量可忽略不計,兩支撐點之距離為6 ft,此梁之斷面為矩形, 寬為8 in,高為10 in,試求最大之剪應力為何? (A) 30.2 psi (B) 44.6 psi (C) 56.3 psi (D) 60.4 psi
15. 如右圖所示,一平面應力元素承受應力值σx = 120 MPa,σy = 28MPa ,τxy = 30 MPa,請問最大剪應力值為何?(A) 43 MPa (B) 55 MPa (C) 86 MPa (D) 110 MPa
16. 如右圖所示之鐵質輪子,質量100 kg,直徑1000 mm,受一力偶M 作用,並欲越過台階,如台階高度為100 mm,請問輪子與台階間 之摩擦係數至少應為下列何者? (A) 0.4 (B) 0.6 (C) 0.75 (D) 0.8
17. 如右圖所示,有一長度6 m、重量不計之水平剛性構件AB,左端為鉸接端,於三等分點D與F,分別由完全相同之垂直彈性繩支撐, 彈性繩長度為50 cm,斷面積為5 cm2,楊氏係數為E = 20 × 109N/m2。 如於右端施加垂直力P = 50 kN,試求彈性繩之拉力PEF為何?(A) 30 kN (B) 45 kN (C) 50 kN (D) 60 kN
18. 如右圖所示,AB軸徑8 cm,BC外徑8 cm、內徑4 cm之空心軸若允許剪應力為700 kg/cm2,則容許最大扭矩T為何?
(A) 32920 kg-cm (B) 46890 kg-cm (C) 56415 kg-cm (D) 65940 kg-cm
19. 有關柱之抗挫曲,通常空心剖面較實心剖面經濟,下列何者為最主要因素?(A)內部可裝流體 (B)於相同剖面面積時,空心剖面之慣性矩I較大(C)較美觀 (D)為了共鳴作用
20. 如右圖所示之ABC梁,在A及B有簡支撐,A為鉸接點,BC為懸出部分,其上受一均佈負載 ,請問下列何者為其彎曲力矩分布圖? (A)(B)(C)(D)
21. 依薄殼理論有關圓柱形壓力容器之描述,當p為內壓,半徑為r,厚度為t時,試求殼外表面最 大主應力為何? (A) pr / (2t) (B) pr / (4t) (C) pr / t (D) p
22. 如右圖所示之鐵門,若Q = 10 lb,請問維持力量所需之力量P為多少?(A) 100 lb (B) 200 lb(C) 300 lb (D) 400 lb
23. 如右圖所示之三角形,C為形心,試求對X軸之慣性矩為何? (A) bh2 / 36 (B) bh3 / 12 (C) bh / 2 (D) bh3 / 36
24. 一直徑為120 mm之圓軸,受扭矩15000 N-m作用,試求產生之最大剪應力為多少?(A) 22.1 N / mm2(B) 25.5 N / mm2(C) 44.2 N / mm2(D) 50.9 N / mm2
25. 如右圖所示,將一條繩索繞過一個半徑r =1 m及質量m =20 kg之均勻圓盤,假 設繩索與盤子間沒有滑動,若以T向上拉著繩索,T之大小為206 N,重力加速 度 g = 9.8 m / s2,請問圓盤中心之加速度為多少? (A) 0.2 m / s 2,向下 (B) 0.5 m / s 2,向下 (C) 0.2 m / s 2,向上 (D) 0.5 m / s 2,向上
26. 如右圖所示,有一假設質量m之B塊,可在無摩擦之OA臂桿上自由滑動,臂桿OA以ω的等速率在水平面上轉動。若B在r=r0 的位置處鬆開,請問臂桿OA施加在B之水平力量為何? (A) 2mω 2 (r2 − r02 ) (B) 2mω2 (r 2 − r02 ) 1/2 (C) 2mω2 r0 (D) 2mω2r
27. 如右圖所示,AB及BC均為繩索,外力260 N,試求繩索張力TAB、TBC分別為何? (A) 100 N、240 N (B) 130 N、312 N (C) 240 N、100 N (D) 312 N、130 N
28. 如右圖所示,A、B與C三個應變計讀數分別為520 × 10-6、360 × 10-6及80 x 10-6,則該處剪應變γxy為何?(A) 80 × 10-6(B) 100 × 10-6(C) 180 × 10-6(D) 260 × 10-6(E)一律給分
29. 如右圖所示,三力作用於同一點上且維持平衡,試求力量F大小為何?(A) 6.12 N (B) 9.18 N(C) 10.71 N (D)12.24 N
30. 如右圖所示,桿件AB、CD均為實心圓斷面,ABC三端均為鉸接。其中AB桿件之半徑為20 mm,彈性模數E = 14 GPa,假設 於D處施加力量F,如桿件AB發生挫曲現象(buckling),力量F 最低應為下列何者? (A) 6.51 kN (B) 7.52 kN (C) 13.02 kN (D) 15.04 kN
31. 如右圖所示之立方體,E = 3.6 MPa,ν = 0.4,各面承受均勻拉力0.09 MPa,試求此立方體體積應變(volumetric strain)為何?
(A) 0.005 m3 / m3 (B) 0.01 m3 / m3 (C) 0.015 m3 / m3 (D) 0.02 m3 / m3
32. 有關陀螺儀(gyro)之敘述,下列何者有誤?(A)陀螺儀係以非常高之自轉速率繞對稱軸旋轉之轉子(B)當陀螺儀裝置在平衡環(gimbal ring),外加力矩作用於底座時,陀螺儀不受影響(C)陀螺儀之運動與迴轉效應(gyroscopic effect)無關(D)陀螺儀可應用於迴轉羅盤(gyrocompass)
33. 如右圖所示,有一均佈負載q之懸臂梁,長度L,EL=常數 ,則B點之斜度為何? (A) (B)(C)(D)
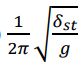
34. 如右圖所示之複合梁斷面,由兩種不同材料組成,彈性係數比 E1/E2 = 6,若梁上緣發生壓應力,其中性軸與斷面下緣之距離應為何?(A) 0.15h (B) 0.2h(C) 0.25h (D) 0.3h
35. 已知A、B、C三點,有一作用於A點之力,向量為, ,則對B點之力矩向量為何? (A)(B)(C)(D)
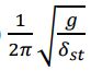
36. 如右圖所示,梁受載重後靜撓度為δst,若忽略梁之質量,且假設負荷與梁保持接觸,則系統 之振動頻率f為何? (A)(B)(C)(D)
37. 三度空間有三個大小相等且平衡之力,若此三力皆異於零,下列敘述何者正確?(A)此三力共平面 (B)此三力不共平面且不相會(C)此三力共線 (D)此三力不共平面但相會
38. 如右圖所示,有一直徑 d = 30 mm之圓桿,受到 P = 64 kN之軸向負載,則桿中之最大剪應力τmax為何? (A) 30.17 MPa (B) 35.37 MPa (C) 40.57 MPa (D) 45.27 MPa
39. 有一等截面桿E =20 kN / mm2,其截面為30 mm × 30 mm之正方形,長度L = 4 m,受到軸向拉力P = 120 kN作用後,試求此桿長度變化為何? (A)縮短25.2 mm (B)縮短26.7 mm (C)伸長25.2 mm (D)伸長26.7 mm
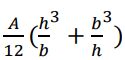
40. 如右圖所示,某人重80 kg站在船之右端,船重200 kg,不計船與水之互制關係,假設此人由船之右端走到左端,試求船離岸多少m? (A) 10.24 (B) 10.46 (C) 10.64 (D) 10.86
41. 有一圓形均勻桿件,長度6 m,斷面為直徑30 mm,楊氏模數為73 GPa,蒲松比為1/3,施加拉力使其長度伸長7 mm,試求其直徑縮減量為何? (A) 0.01167 mm (B) 0.02333 mm (C) 0.1167 mm (D) 0.2333 mm
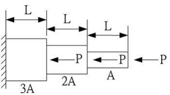
42. 有一寬與高分別為b及h之矩型斷面均質彈性材料桿件,若其斷面積設為A,則對該斷面形心 之極慣性矩J (polar moment of inertia)為何? (A) (B)(C) (D)
43. 如右圖所示,圓柱上下兩端被固定,其斷面積為A,材料之彈性模數為E,試求 A端之反力為何? (A)(B)(C) (D)
44. 如右圖所示之構件,全長為3L,斷面積分別為A、2A及3A ,彈性係數均為E,試求構件總縮減量為何? (A)(B)(C)(D)
45. 如右圖所示,有一輪子半徑為0.5 m之圓形均質剛體,由水平地面及鉛垂牆面所支持,輪子質量100 kg,且與二接觸面之動摩擦係數均為0.6,若欲等速轉動此輪,則需施加力矩M之大小為何?(A) 346.2 N-m (B) 442.6 N-m(C) 492.6 N-m (D) 546.2 N-m
46. 如右圖所示,某拋射體從100 m高之懸崖頂以斜角30°發射,其初 速度為80 m / s,重力加速度g = 9.8 m / s2,試求拋射體所能到達距地面之最大高度為何?(A) 121.37 m (B) 144.32 m(C) 157.72 m (D) 181.63 m
47. 如右圖所示,有一均質物體重500 N,被相距8.4 m之A、B點上的兩 線性彈簧所支撐,彈簧係數分別為100 N / m及150 N / m,兩彈簧未受力前之長度均為4 m,A、B點均為固定點,當物體W平衡時,試 求中心點C之位置距離A點為何?(A) 5.8 m (B) 6 m(C) 6.2 m (D) 6.4 m
48. 如右圖所示,有一受強度q之均佈負載懸臂梁,下列何者為其剪力圖?(A) (B)(C)(D)
49. 如右圖所示之中空矩型,有關其面積對通過圖中形心之水平軸(XG)慣性矩為下列何者?(A) 1288.9 m4(B) 1324.2 m4(C) 1368.5 m4(D) 1395.0 m4
50. 有一均質彈性材料桿件,其斷面性質代號分別為:斷面積A、慣性矩I、極慣性矩J。若其楊氏模數為E,剪力模數為G,則下列何者可視為該桿件之剪力剛度(shear rigidity)? (A) GJ (B) GA (C) GI / E (D) GI