所屬科目:教師檢定(教檢)◆國民小學◆數學能力測驗
4.一些三角形排出圖 1、圖 2、圖 3、⋯的圖形,如下圖: 若用 300 個三角形排出第個圖(會剩下一些三角形),則n的最大值是多少? (A)9 (B) 16 (C) 17 (D) 26
5.若a、b都是正整數且2 +為3x 2 −ax+b = 0的一個根,則 a +b =?.(A)15 (B)5 (C) −3 (D) −9
6.有一方程式為 ,下列何者與該方程式有相同的解? (A)(B) (C)9x +6 − 4x − 12 = 12 (D)9x+ 6 − 4x+ 12 = 12
7.請判斷下列關於二次函數的圖形之敘 述是錯誤的? (A) a愈大拋物線的開口愈大 (B) a的正負決定拋物線的開口方向及最大值與最小值 (C) b 2 − 4ac ≥ 0 時函數圖形為拋物線且與x軸相交(D)函數圖形為拋物線且頂點坐標為
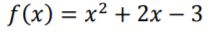
8.已知,請判斷下列哪些敘述是正確的?
甲:y = f(x)的函數圖形為拋物線
乙:在x = −1時 f(x)有最小值−4
丙:在x= −1時f(x)有最小值−2
丁: f(x)= 0有相異的兩根1和−3
戊:y = f(x)的函數圖形與x軸相交於(−1, −4) (A) 只有甲、乙、丁正確 (B) 只有甲、乙、戊正確 (C) 只有甲、丙、丁正確 (D) 只有甲、丙、戊正確
9.設,是公差為的等差數列,下列哪一個關於等差數列的敘述是正確 的? (A) 若,則是公差為d + 3的等差數列。 (B) 若ck=2ax,則c1,c2,c3,… ,cn是公差為2d的等差數列。 (C) 若,則 ,是公差為2d+3 的等差數列。 (D) 若,則 ,是公差為 d2的等差數列。
11.有一組合圖形,其中每一個四邊形都為正方形、每一個三角形都為直角三角形,如下 圖: 若正方形甲的面積為 1,則所有正方形(含甲)的面積和為多少? (A)3 (B) 4 (C) 5 (D) 6
12.在平面上與平行,∠ABC = 130°、∠CDE = 45°,如下圖:問 ∠BCD 的度數為何? (A) 175° (B) 135° (C) 95° (D) 85°
13.市面上有直徑 9 吋與 12 吋的披薩,今將這兩種披薩各自切成 8 等份的扇形,各取出一 片,問此兩片披薩的面積比為何? (A) 1 ∶ 1 (B) (C) 9∶ 12 (D)9 ∶ 16
14.某社區巡守隊的成員有 2 位男士和 2 位女士,若先隨機抽取一人擔任隊長,再隨機抽取 另一人擔任副隊長,則抽中隊長和副隊長恰好都是女士的機率為何? (A) (B)(C) (D)
15.全班 25 人的數學成績統計圖如下: 若小明的分數是在第 75 百分位數,則小明的分數是幾分? (A) 77(B) 8 (C) 81 (D) 82
18.當學童尚未學過兩整數相除的結果是小數,下列有四組關於分數的大小比較問題,問 何者最需要使用通分策略來比較大小? (A) (B)、 (C) 、(D) 、
20.我們時常使用下列的積木來進行教學: 下列哪一個表徵方式,最適合進行一位小數的啟蒙教學? (A) 百格板是1,橘色積木是0.1 (B) 百格板是1張,橘色積木是0.1張 (C) 橘色積木是1,白色積木是0.1 (D) 橘色積木是1條,白色積木是0.1條
26.教師在黑板上畫了兩個角,並在角上做了弧形記號如下: 下列是四位學童的說法,問哪一位學童的說法和答案都是正確的? (A) 因為乙角的邊長比甲角長,所以乙角比較大 (B) 因為甲角的弧形記號比乙角長,所以甲角比較大 (C) 因為甲角所夾的區域比乙角大,所以甲角比較大 (D) 因為甲角張開的程度比乙角大,所以甲角比較大
27.有關國小「放大圖和縮圖」的教學,某教師提供 A、B、C 三個圖形,B 是 A 的 4 倍放 大圖、C 是 A 的 倍縮圖。有關四位學童的說法如下: 甲、B 圖的各邊長都是 A 圖對應邊長的 2 倍 乙、B 圖的各個角度都和 A 圖對應角一樣大 丙、C 圖的各邊長都是 A 圖對應邊長的 倍 丁、C 圖的面積是 A 圖的倍 下列敘述何者為真? (A) 只有甲正確 (B) 只有乙正確 (C) 只有甲、丁正確 (D) 只有乙、丙正確
29.學童在不同圖示下辨認「平行」,會有不同的難度。對學童而言,下列何者是最容易辨 認的? (A) (B) (C) (D)
30.自然課學生練習觀測的氣溫後,紀錄如下表: 學生可以根據這個表格的數據,呈現哪一種圖示最為適切? (A) 長條圖 (B) 折線圖 (C) 圓形圖 (D) 函數關係圖