所屬科目:專科學力鑑定◆專(一):工程數學
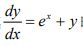
1. 下列何者為微分方程式的通解( general solution)? (A) ,其中c為任意常數 (B) ,其中c為任意常數 (C) ,其中c為任意常數 (D) ,其中c為任意常數
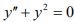
2. 若 為齊性解(homogeneous solution), 為特別解(particular solution),則 可能為下列何者? (A) (B) (C) (D)
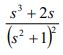
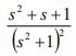
3. 求反拉氏轉換(inverse Laplace transform) =?(A) (B) (C) (D)
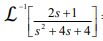
4. 若將初值問題(initial- value problem) y′′ + y = cost , y′(0) =1, y(0) = 0透過拉氏轉換 (Laplace transform)後,可求得 = ? (A) (B) (C) (D)
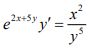
5. 下列何者為微分方程式 的積分因子(integrating factor)? (A) x (B) −1 x (C) −3 x (D) 3 x
6. 若有一聯立線性方程組(linear system)為 ,則 2 x 之值為何? (A) (B) 2 (C) (D) −1
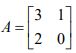
7. 若矩陣 ,則 A3 − 3A2 + 2A = ? (A) (B) (C) (D)
8 ,則純量三重積 ( scalar triple product ) 之值為何? (A) 2 (B) 6 (C) 12 (D) 14
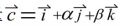
9. 若向量 (α,β 為常數)會同時垂直向量, 則α + β 之值為何? (A) - 12 (B) - 2 (C) 2 (D) 12
10. 若週期函數 f (x) 的傅立葉 ,其中 n b 為常數,則下列何者正確? (A) f (x) 為偶函數且週期Τ =1 (B) f (x) 為奇函數且週期Τ =1 (C) f (x) 為偶函數且週期Τ = 2 (D) f (x) 為奇函數且週期Τ = 2
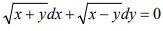
11. 下列何者為可分離型(separable )微分方程式? (A) (B) (C) (D)
12. 下列何者為二階齊次( homogeneous)線性常微分方程式? (A) y′′ + 2y′ + 3y = 4 (B)(C) (D)
14. 下列何者為微分方程式的通解( general solution)?
(A)為常數 (B) 為常數 (C) 為常數 (D)為常數
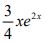
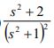
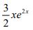
15. 求函數 的拉氏轉換(Laplace transform) ℒ( f ) 為何? (A) (B) (C) (D)
16. 求函數的拉氏轉換(Laplace transform)ℒ( f )為何?
(A) (B) (C) (D)
17. 若函數 f (x) =104sin 2015x + 2015cos104x 且g(x) = 2015sin104x +104cos2015x ,求定積分 之值為何? (A) 1042 (B) 20152 (C) 2015×104 (D) 0
18. 若函數 , 求a0 + a3 + a5 之值為何? (A) 2015 (B) 104 (C) 2015×104 (D) 2119
19. 若三維空間中兩向量, 求 之值為何?
(A) (B) (C) (D) 12
20. 若矩陣 A,B 均為可逆(invertible ),下面敘述何者正確? (A) (B) (C) (D)