所屬科目:A.電工原理、B.電子概論
3. 單位長度的銅線,當銅線的直徑變為原來的兩倍時,電阻值變為原來的: (A) 倍 (B) 倍 (C) 2倍 (D) 4倍
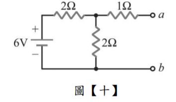
4. 如圖【一】所示電路,RL兩端的戴維寧等效電路為: (A) ETh=12V,RTh=6Ω (B) ETh=6V,RTh=12Ω (C) ETh=4V,RTh=4Ω (D) ETh=12V,RTh=4Ω
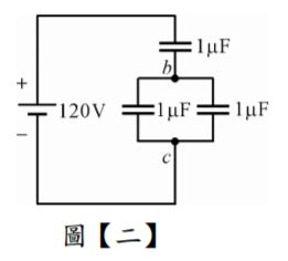
7. 如圖【二】所示電路,b、c兩端電壓Vbc為:(A) 20V (B) 40V (C) 60V (D)80V
8. 如圖【三】所示電路,求 I 之值為多少? (A) 1A (B) 2A (C) 3A (D) 4A
9. 如圖【四】所示電路,試求電路之電壓調整率為何?(A)10% (B) 15% (C) 20% (D) 25%
10. 如圖【五】所示電路,試求a、b 兩點間的電阻為多少? (A) 5Ω (B) 4Ω (C) 3Ω (D) 2Ω
11. 如圖【六】所示電路,利用戴維寧定理、重疊定理,求流過6Ω的電壓 V 和電流 I 各為多少?(A) 44V,11A (B) 33V,11A (C) 12V,2A (D) 55V,11A
13. 如圖【七】所示電路,試求 V 為多少伏特?(A)7.2(B)14.4 (C) 21.6 (D) 28.8
19. 如圖【八】所示電路,求電流 I 為多少? (A) 3A (B) 4A (C) 5A (D) 6A
20. 如圖【九】所示電路,各電阻均相同,當開關K未按下時,通過電池的電流為0.6安培, 當K按下後,則通過電池的電流為多少? (A)0.2A (B)0.4A (C)0.9A (D)1.2A
22. 如圖【十】所示電路, a 、b 兩端之戴維寧等效電路的 RTh 為多少? (A)1Ω (B)2Ω (C)4Ω (D)8Ω
23. 如圖【十一】所示電路,流經 5Ω 電阻之電流 I 為多少? (A) - 30A (B) - 15A (C)10A (D)15A
25. 如圖【十二】所示電路,開關原在打開狀態,電容上的電壓為0V,電感上的電流為0A, 今將開關S閉合,試問開關在閉合瞬間,電源電流之值為多少? (A)0A (B)無限大 (C)5A (D)3.33A
27. 如圖【十三】所示電路, VZ =10V,最大額定功率為200mW。若負載電阻 RL=200Ω, 且負載兩端電壓要維持在10V,請問輸入電壓 Vi 為何? (A) 16V (B) 21V (C) 25V (D) 31V
28. 如圖【十四】所示電路,電晶體偏壓電路,若電晶體β=100,求電晶體的集極電流約為 多少? (A) 1mA (B) 0.84mA (C) 0.70mA (D) 0.5 mA
32. 如圖【十五】所示電路,C1之主要功能為何? (A)隔離交流訊號 (B)提高輸入阻抗 (C)隔離直流偏壓 (D)消除雜訊
33. 如圖【十六】所示之電流波形,其頻率為何? (A) 250Hz (B) 200Hz (C) 500Hz (D) 50Hz
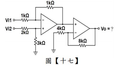
40. 如圖【十七】所示電路,Vi1=10V、Vi2=4V,飽和輸出電壓為±15V ,求Vo為多少? (A) 12V (B)-12V (C) 15V (D)-15V
42. 如圖【十八】所示電路,,圖中二極體皆為理想,則Vo之最大振幅為? (A) 3V (B) 6V (C) 15V (D) 0V
44. 二極體截波電路如圖【十九】所示,假設D為 理想二極體,則使用示波器量測到的Vo近似波 形為何? (A) (B) (C)(D)
47. 如圖【二十】所示之元件符號,試問此元件符號應為: (A) N通道增強型MOSFET (B) P通道增強型MOSFET (C) N通道空乏型MOSFET (D) P通道空乏型MOSFET
49. 下列關於BJT之增益α、β何者正確? (A) (B) (C) (D)
50. 如圖【二十一】所示電路,輸出電壓Vout為多少伏特? (A)+8 (B)-8 (C)+5 (D)-5
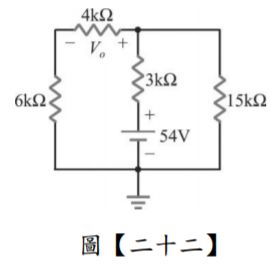
2. 如圖【二十二】所示電路,求電壓Vo為_______伏特。
3. 如圖【二十三】所示電路,求電流 I 之值等於________安培。
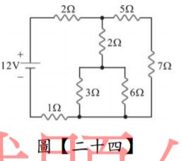
5. 如圖【二十四】所示電路,則通過3電阻之電流為__________安培。
7. 有一交流電壓為 ,求 秒時的瞬間電壓值為________ 伏特。