所屬科目:身心障礙升大專-數乙
1. 設 為數線上相異三點,其中坐標 。 若 且 , 則 的長度最接近下列哪一個選項? (A) 15 (B) 10 (C) 6 (D) 3
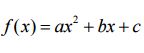
2. 設 均為正數。關於二次函數的敘述,試選出 正確的選項。 (A) 方程式 至少有一正根 (B) 的圖形必通過第四象限 (C) 必有一實數 r 滿 足 (D) 的圖形與 的圖形不會有交點
3. 若實係數多項式除 以 的餘式為 x -1,則下列哪一個 選 項 不正確 ? (A) 除 以 x -1 的餘式為 0 (B) 除 以 x - 2 的餘式為 1 (C) 除 以的餘式為 x -1 (D) 除 以的餘式為 - x+1
4. 若三次實係數多項式函數 滿 足且 f (3) = 15, 則 f (4) 的值是下列哪一個選項? (A) 47 (B) 49(C)51 (D) 53
5. 在 坐 標 平 面 上,若 直 線 L 通過點 (2,2a ) 與 (4,4a ) ,且 與 直 線 垂直,則 a 的值是下列哪一個選項? (A) log3 2 (B) log2 3 (C) log5 2 (D) log2 5
6. 設 n 為正整數。若級數的和是一個整數,則下列哪一個選項最有可能是 n 的值? (A) 9 (B) 16 (C) 24 (D) 31
7. 關 於 的 大 小 關 係,試 選 出 正 確 的 選 項。 (已知近似值 log2 0.3010 、 log3 0.4771 ) (A) a >b >c (B) a>c>b (C) b>a>c (D) b>c>a
8. 網路行銷公司調查客戶對某產品的 滿意度評價,請客戶從「滿 意 」、「不滿意」、「普通」中擇一投票。滿意度的積分規則計算如 下:開始時積分為 0,每獲一張滿意票得 2 分,每獲一張不滿意票 扣 1 分,每獲一張普通的選票得 0 分。已知經過投票後,累計有 200 張有效票、積分為 104 分,其中滿意票與不滿意票的比例為,試問票選普通的票數是下列哪一個選項? (A) 36 (B) 38 (C) 40 (D) 42
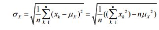
9. 某次段考全班學生的數學與英文成績都低於 75 分,因此老師打 算調整這兩科的成績,調整方式如下:數學成績乘以 1.2 後再加 5 分,英文成績乘以 0.8後再加 25分。試問下列哪一個選項 不正確 ? 註:標準差σ X 的公式: ,其中μ X 為算術平均數 (A) 若某生的數學與英文原始成績皆為 60分,則調整後數學成績 高於英文成績 (B) 調整後每一位學生兩科的成績都高於原始成績 (C) 全班這兩科成績調整後的平均分 數都高於原始的平均分數 (D) 全班這兩科成績調整後的標準差都高於原始的標準差
10. 某一組數據共含 10 個數值:,其中 x > y ,且 x, y 都是整數。若這組數據的算術平均數為 7、中位數為 6,則 y 的 最大可能值是下列哪一個選項? (A) 3 (B) 4 (C) 5 (D) 6
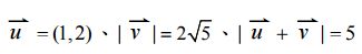
12. 已 知 與 為平面向量,且 , 則 由 與展成的三角形面積是下列哪一個選項? (A) 3 (B) 5 (C) 8 (D) 10
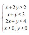
13. 已知一線性規劃的可行解區域為 , 目標函數的最大值為 14、最小值為 4 ,則 m 的值是 下列哪一個選項? (A) 4 (B) (C) (D) 5
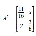
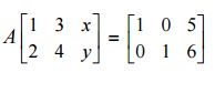
15. 若 2 ✖2 階方陣 A 滿 足 ,試選出正確的選項。 (A) x = 21 (B) x = 22 (C) y = 34 (D) y = 35
16. 袋中有 5 個紅球、3 個白球、2 個黑球,共 10 個球。今從袋中取 球,每次取出一球,取出不放回。 若每一球被取到的機率均等, 則直到第五次才取出全部白球 的機率是下列哪一個選項? (A)(B) (C) (D)
17. 摸彩箱中有編號 1,2,3,4,5 的球共 15 個,其中 k 號球有 k 個 ( k =1,2,3,4,5 ),今從中隨機抽取一球,抽取到 k 號球可獲得 100✖k 元的獎金。若每一球被取到的 機率均等,則每抽取一球可獲得獎 金的期望值是下列哪一個選項? (A)元 (B) 元 (C) 元 (D) 元
18. 設 是一個轉移矩陣 (即每行之和皆為 1),其中 都 是實數,而 2 A 表 示 A 與 A 的乘積。已知,則| a - b| 的 值 是下列哪一個選項? (A)(B)(C) (D)
19. 某高中調查全校學生的嗜好發現,每 10 位學生中有 6位喜歡打籃 球,也有 7位喜歡玩手機遊戲。已知學生喜歡打籃球與喜歡玩手 機遊戲為獨立事件,則隨機遇 到一位該校學生不喜歡打籃球、也 不喜歡玩手機遊戲的機率是下列哪一個選項? (A) (B) (C) (D)
20. 由 1,2,3,4,5,6,7 排成數字都相異的七位數中,若取出所有的偶數由 小而大排成一數列:,則第 50 項是下 列哪一個選項? (A) 1324576 (B) 1324756 (C) 1325674 (D) 1325764