題組內容
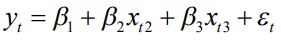
五、複迴歸模型設定:
, 應變數為
為自變數,三個迴歸係數以β符號代表,誤差項
表為:
自我迴歸係數︱ ρ︱<1,隨機變數
可稱為白噪音(white noise)。在其他迴歸基本假設或稱高斯馬可夫假設(Guass-Markov assumptions)都成立的情況下:
(四)如果研究者估計一條迴歸方程式並得到以下結果: 
其中
是殘差項,S.E.為估計標準誤(standard error), R2 代表判定係數(coefficient of determination),DW 代表 Durbin-Watson 統計量。 以上數據顯示模型配適度極佳,而且 DW 統計量很接近 2,顯示不存在自我相關(autocorrelation)。 前段說法是否正確?