所屬科目:一二等大副◆航海與船舶操縱
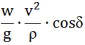
45. 如圖使船體產生傾斜之作用力,作用於G點之向心力,為下列何者 ? (A) (B)Pn‧cosα (C)R‧sinβ (D)R‧cosβ
46. 舵的兩面上產生壓力差,壓力增加之一側將舵推向減小之一側之作用力,此力稱為「 舵力」,如圖所表示垂直力與直壓力為下列何者 ? (A)P (B)T (C)R (D)A