所屬科目:四技二專統測◆數學A
6.設角θ終邊上一點P的座標為(x,-1)且cotθ=3,試求cosθ=? (A)(B)(C)(D)
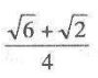
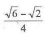
7.試求(sin75°-cos75°)2=? (A)(B)(C) (D)
8.已知0≤θ<π,sin2θ,試求sinθ=?(A)(B)(C)(D)
10.已知△ABC中,頂點A的座標(-2,1),頂點B和C位於直線 2x+3y=12上,試求邊上的高? (A) 12 (B) 13(C) (D) 24
11.設x,y滿足不等式2≤x≤5,x+y≤8,y≥0,試求f(x,y)=2x-y+3的最小值? (A) -10 (B) 13(C)6 (D) 1
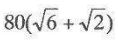
13.海邊二瞭望台A,B相距80公尺,今由A,B二處瞭望海面上一船C,測得∠BAC=60°, ∠LABC=75°,已知sin75°=,求的長是多少公尺? (A) (B) (C)(D)
14.已知在△ABC中,向量,求△ABC的周長為何? (A)(B)(C)(D)
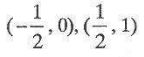
15.設平面上有兩向量,求向量的夾角? (A)30°(B) 45° (C) 60° (D) 120°
16.已知=?(A)(B)(C)(D)
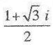
17.已知為x2+x+1=0之一根,試求1+ω+ω2+⋯+=?(A)(B)(C) -1(D) 0
19.設拋物線方程式為y2-4x-2y+9-0,已知拋物線與直線 x=3 相交於A,B兩點,求=? (A) 2 (B) 4(C)6 (D) 8
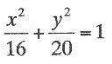
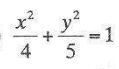
20.已知一橢圓的焦點座標為(0,2)及(0,-2),短軸長為 8,求此橢圓方程式? (A)(B)(C)(D)
21.已知e 為自然指數,設函數,試求函數y=f(x)之圖形在點的切線斜率? (A) -2 (B) -1 (C) 1 (D) 2
22.設,求y 的導函數=?(A)(B)(C)(D)
23.設某質點在直線上運動,其在時間t的速度為,其中距離單位為公尺,時間單位為 秒。試求當t=4 時,其加速度多少? (A) (B) (C) (D) 15
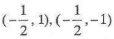
24.已知一雙曲線方程式4x2-16y2+4x+16y+1=0,則其貫軸上的兩頂點分別為何?(A)(B)(C)(D)