所屬科目:四技二專統測◆數學A
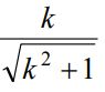
6. 已知tan 22° = k ,則sin 2002°=? (A) (B) (C) (D)
7. 設為兩向量,= (x, y),x、y 為實數,且,則之 內積的最大值為何? (A) (B)(C) 13 (D) 65
8. 已知圓過點( 4 , 0 ) 、( − 4 , 0 ) 、( 0 , 3 ),若此圓半徑為 r,則 r =? (A) 4 (B) (C) 5 (D)
9. 設函數 y = f (x)的圖形為過( 0 , 0 ) 與( 1 , 1 ) 兩點之直線,函數 y = g(x) 的圖形為過( 1 , 1 ) 與( 3 , 0 )兩點之直線,若u(x) = f (x)⋅ g(x) ,則 u(x) 在 x = 1的導數u′(1) = ? (A) –1 (B) –0.5 (C) 0.5 (D) 1
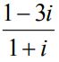
10. 已知,且 a、b 為實數,若=a + bi,則a + b = ? (A) –3 (B) –1 (C) 1 (D) 3
11. 已知△ABC 三頂點為 A(−1 , 3)、B(2 ,1)、C(−3 , −1),若直線平分△ABC 的面積,則直線之方程式為何? (A)3x + y = 0 (B)3x − y + 6 = 0 (C)6x − y + 9 = 0 (D)6x + y + 3 = 0
12. 平面上曲線 y = x2 與直線 y =1所圍成區域的面積為何? (A) (B) (C) 1 (D)
14. 已知平面上三點 A( 1 , 3 )、 B( 3 , k )、C( 5 , 1 ) ,若向量垂直,則 k =? (A) 1 (B) 3 (C) 5 (D) 7
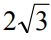
15. △ABC 三內角∠A、∠B、∠C 之對應邊長分別為 a、b、c,若a = ,b = 2,∠A = 120°, 則 c =? (A) (B) 2 (C) 3 (D)
16. 坐標平面上以 A( 8 , 0 )、、C( 0 , 0 ) 三點為頂點的△ ABC 中,∠ BAC 的度量為何? (A)30° (B)45° (C)60° (D)120°
18. 已知cos(α + β ) = cosα cos β − sinα sin β ,若tanθ = ,試求cos 2θ =? (A) (B) (C) (D)
19. 已知,則=? (A) (B)(C) (D)
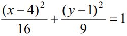
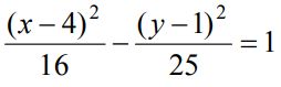
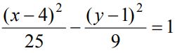
20. 若 x、y 均為實數,且,則( x, y )恆滿足下列那一個 方程式? (A)(B)(C)(D)
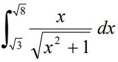
21. 試求定積分=? (A) 1 (B) 2 (C) 3 (D) 4
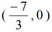
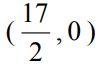
23. 已知直線 L 過點( 1 , 5 ),且垂直於直線2x − 3y + 6 = 0,則 L 與 x 軸的交點坐標為何? (A) (B)(C)(D)