所屬科目:四技二專統測◆數學A
6.若tanα、tanβ為x2-3x-7=0兩根,則tan(a+β)=? (A) (B) (C) (D)
7.三個半徑為2的圓,兩兩外切且內切於正三角形,如圖(一),則此正三角形之邊長為何? (A) 6 (B)(C) 8 (D)
8.若△ABC中,=2,且∠B=30°,∠A=? (A) 30° (B) 45° (C) 60° (D) 90°
9.試問sin310°與下列那一個三角函數值相等? (A) cos40° (B) sin50° (C) sin130° (D) cos220°
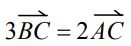
10.若A(1,3)、B(-4,7)及C(x,y)為平面上三點,且,則(x,y)為何? (A) (15,-14) (B) (-15,14) (C) (-14,15) (D) (14,-15)
11.設兩向量的夾角為θ,且,則cosθ=? (A) (B) (C) (D)
12.已知,a為複數,若二次方程式x2-ax-4+7i=0有一根為2-i,則另一根為何? (A) 2-3i (B) -3+2i (C) 2+i (D) 2+3i
13.已知,則(1-i)6=? (A) -8i(B)8i (C)12-8i (D) 12+8i
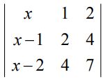
14.若 =0,則x=?(A) -1 (B) 0(C) 1 (D) 2
16.設a、b為實數,若不等式ax2-4x+b<0之解為,則a+b=?(A) (B) (C) (D)
17.設L:6x+8y-3=0為平面上一直線,則下列方程式中何者與L平行,且與L之距離為 ? (A)3x+4y-28=0(B)3x+4y+11=0(C) 6x+8y-19=0(D) 6x+8y+19=0
18.已知直線3x+4y+1=0與圓x2+y2+2x-6y-50於A、B兩點,則=? (A) 2 (B) (C) (D)
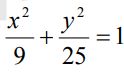
19.設A、B為橢圓的兩焦點,P為此橢圓上之任意一點,則△PAB面積的最大值為何? (A) 6 (B) 12 (C) 15 (D) 20
20.若雙曲線的兩焦點為(-4,0)、(6,0)及一頂點為(4,0),則下列那一點在此雙曲線上? (A) (B) (C) (5,5) (D)
21.設,則f(x)在x=0處之導數f'(0)=? (A) -1 (B) (C) 0 (D) 1
23.若 ,則=?(A) -1 (B) 0(C)1(D)2
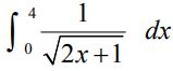
24. =? (A) 2 (B) 3 (C) 4 (D) 6