阿摩線上測驗
登入
首頁
>
四技二專統測◆數學A
> 94年 - 94 四技二專統測_共同科目:數學(A)#18169
94年 - 94 四技二專統測_共同科目:數學(A)#18169
科目:
四技二專統測◆數學A |
年份:
94年 |
選擇題數:
25 |
申論題數:
0
試卷資訊
所屬科目:
四技二專統測◆數學A
選擇題 (25)
1. 若 x
2
+ x +1除2x
3
+ x
2
+ ax + b 的餘式為− 4x + 5,則a + b =?(A) 1 (B) 3 (C) 4 (D) 7
2. 設 A ( − 4 , 4 ) 與 B (1, −1) 為坐標平面上之兩點,若點 C 在
,則點 的坐標為何? (A) ( − 3 , 3 ) (B) ( − 2 , 2 )(C) ( −1,1) (D) ( 0 , 0 )
3. 下列何者為多項式?
4. 試求 (0.0625)
-1.5
? (A) 4(B) 16 (C) 64(D) 128
5. 設「⋅」表示四則運算中的乘號,若2
2 x+1
+ 2
3x
= 5 ⋅ 2
x+4
,試求 x =? (A) 0 (B) 1 (C) 2 (D) 3
6. 設 θ 為實數,若 sin 2θ =1/3 ,則 (sinθ − cosθ )
2
=? (A) 2/3 (B) 1 (C) 4/3 (D) 5/3
7. 設 θ 為實數,若 sinθ + cosθ = 1/3,則 tanθ + cotθ =?
8. 周長為 36 且三邊長均為正整數之所有三角形中,邊長的最大值為何? (A) 21(B) 18 (C) 17 (D) 15
9. 某湖邊上有三點 A、 B 和 C ,若從 C 點處測出 ∠ ACB = 60 °、 AC 長為 200 公尺及BC 長為 100 公尺,則 AB 長為多少公尺?
(A) 100 √3 (B) 200 √3 (C) 100 (D) 200
10. 在鈍角三角形 ∆ ABC 中,設 a , b , c 分別為 ∠ A, ∠ B , ∠ C 的對邊長,若 ∠ A = 30 ° 且 a : b =
,則 ∠C=? (A) 30 ° (B) 60 ° (C) 120° (D) 150°
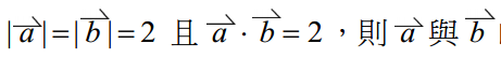
11. 設
為平面上的兩個向量,若
的夾角為何? (A) 15 ° (B) 30 °(C) 45 ° (D) 60 °
12. 設
為平面上的兩個向量,
=? (A) 3(B)6(C)9(D)12
13. 設
且 a 與 b 為兩實數,若 ( a + b i ) (1+ 3i ) = 8 + 4 i ,則(a+bi)
2
=? (A)8i(B)-8i(C)8+8i(D)8-8i
14. 若 ω 為方程式x
2
+x+1=0 之一複數根,則 ω
2005
=? (A) -1(B)1(C)-ω(D)ω
15. 設 k 為自然數,若行列式
,則 k=? (A) 3(B) 4 (C) 5 (D) 6
16. 若直線 x − y −1 = 0 與拋物線 x
2
+ 4x + y +1 = 0 相交於 A 與 B 兩點,則 AB =? (A) 5 (B) 7 (C) 5 √2 (D) 7 √2
17. 在坐標平面上,滿足不等式 | x | ≤ y ≤ 8 的區域面積為何? (A) 16 (B) 32 (C) 64 (D) 128
18. 設 為實數,若任意實數 均使 kx
2
-2x+k恆為正數,則 k之範圍為何? (A) k>1 (B)0<k<1 (C) -1<k<0 (D)k<-1
19. 在坐標平面上,設圓心在第二象限上的圓與兩坐標軸相切,若圓心在直線 3x + 5y = 14 上,則此圓的半徑為何? (A) 1 (B) 3 (C) 5 (D) 7
20. 在坐標平面上,若將二次曲線(x+1)
2
=4y向 x 軸正方向平移 2,再向 y 軸正方向平移 1, 則平移後的方程式為何?(A)(x+3)
2
=4(y+1)(B)(x-1)
2
=4(y-1)(C)(x+1)
2
=4y-1(D)(x-3)
2
=4y+1
21. 試求
? (A) 1/4 (B) 1/2 (C) 2 (D) 4
22. 設 a 與 b 為實數,且 f ′(x) 與 g′(x) 分別表示函數 f (x) 與 g(x) 的導函數,若 f (x) = ax 與 g(x) = ax
2
− bx + 3 滿足f(2)=g(2)及f’(2)=g’(2),則 a + b = ? (A) 2 (B) 3 (C) 4 (D) 5
23. 設 f '(x) 為 f (x) 的導函數,若 f (x) = x + |x| ,則 f ′ + f ′(−1) = ? (A) 0 (B) 1 (C) 2 (D) 4
24. 若 f (x) = x
3
+ 3x
2
− 9x −10 的相對極大值為 M ,相對極小值為m ,則 M − m = ? (A)2 (B) 15 (C) 17 (D) 32
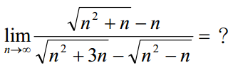
25. 試求
? (A) 0 (B) 2 (C) 4 (D) 8
申論題 (0)
相關試卷
114年 - 114 四技二專統測_共同科目:數學(A)#137776
114年 · #137776
113年 - 113 四技二專統測_共同科目:數學(A)#121707
113年 · #121707
112年 - 112 四技二專統測_共同科目:數學(A)#117802
112年 · #117802
111年 - 111 身心障礙學生升學大專校院甄試試題_四技二專組_共同科目:數學(A)#118921
111年 · #118921
111年 - 111 四技二專統測_共同科目:數學(A)#107788
111年 · #107788
109年 - 109 四技二專統測_共同科目:數學(A)#85162
109年 · #85162
108年 - 108 四技二專統測_共同科目:數學(A)#76525
108年 · #76525
107年 - 107 四技二專統測_共同科目:數學(A)#73258
107年 · #73258
106年 - 106 四技二專統測_共同科目:數學(A)#61707
106年 · #61707
106年 - 106 四技二專統測_共同科目:數學(A) 1-14 (重複)#61706
106年 · #61706