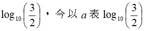
所屬科目:高中指考◆數學乙
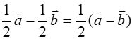
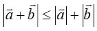
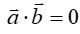
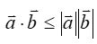
2. 兩向量以表示,並以表示的內積,以的長度,試問下列哪一個選項表示:「三角形兩邊中點的連線段與第三邊平行,且其長度為第三邊之半。」?(A)(B)(C)(D)(E)
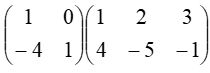
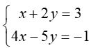
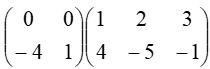
3. 解下列聯立方程式時,將相關的係數與常數以矩陣 A表達如下:對矩陣A進行高斯消去法的一個步驟:第一列不改變,並將第二列減去第一列的四倍成為新的第二列。試問下列哪一個選項中的矩陣乘積代表對A進行上述步驟?(A)(B)(C)(D)(E)
4. 有一個不公正的骰子,投擲的時候,二點、三點、四點、五點和六點出現的機率都是, 以b表投擲的時候一點出現的機率,請選出正確的選項。 (A) a>0(B) a>1(C)(D)(E)a>b
5. 給定二次多項式 f(x)=x2+ax+b,已知多項式x3+3x2+4x+2除以f(x)其餘式為3x+2,多項式x3+x2-x-1除以f(x)其餘式為4x+1,請選出正確的選項。(A) a=3(B) b=−1(C) 方程式 f(x)=0無實根(D) f(x)的極小值為(E)f(x)除以(x+3)其餘式為 1
B. 從集合中隨機抽取一個矩陣,其行列式為0的機率等於。(化為最簡分數)
C. 若三角形 ABC 的及cos∠BAC = , 則 sin ∠ACB =。(化為最簡分數)