所屬科目:高中指考◆數學乙
2.右圖是某間大學學生的主修各科次數長條圖,如果我們想要選擇一個集中量數來代表該大學學生主修的傾向。請問下列哪個量數是最佳的選擇?
(A)平均數(B)中位數(C)平均數和中位數皆可(D)四分位數(E)眾數
4.班佛法則:銀行存款的首位數為a(即存款數字的第一位數為a,例如存款金額為483216的首位數是4)的比例約有,根據班佛法則,銀行存款 的首位數為4、5、6,或 7 的人共佔比例約多少 ? ( 10 log102≈ 0.3010 , log103≈0.4771, log105 ≈0.6990) (A) 20% (B) 30% (C) 40% (D) 50% (E) 60%
8.某校為了解學生對營養午餐的菜色是否滿意,用簡單隨機抽樣從全校5000位同學當中抽出了250人,詢問他們的意見,其中有170人表示對菜色滿意。選出正確的選項: (A) 全校同學當中,一定有 3400 位對菜色滿意 (B) 全校同學對營養午餐菜色滿意百分比的 95% 信賴區間是 [ 0.62 , 0.74 ](C) 全校同學對營養午餐菜色滿意的百分比,一定不少於 0.62 (D) 全校同學對營養午餐菜色滿意的百分比,有可能大於 0.74
A.若多項式f(x)、g(x)滿足f(x)-g(x)=x3-5x2+x+1 ,且 x −1為 g(x)的因式,則 f (x)除以 x −1的餘式為__⑨⑩__ 。
C.在下圖5×5的黑白相間的固定棋盤中,選取1個黑方格與1個白方格。選出的黑方格與白方格不在同一行也不在同一列,則選擇的方法有__⑭⑮__種。
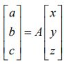
(3)已知密碼可透過一個三階方陣A來轉換成明碼,即,求此三階方陣 A。