阿摩線上測驗
登入
首頁
>
高中指考◆數學乙
>
98年 - 98 大學入學考試中心_指定科目考試參考試卷:數學乙#116249
> 申論題
題組內容
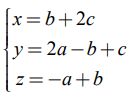
二、人們常用各種方式將原始的數字資料(稱為明碼)編成密碼來傳遞,下面是一種將明碼數組(a,b,c)轉換成密碼數組(x,y,z)的編碼公式:(13分)
(2)求密碼數組(1,2,3)的原始數字資料(即明碼數組)。
相關申論題
A.若多項式f(x)、g(x)滿足f(x)-g(x)=x3-5x2+x+1 ,且 x −1為 g(x)的因式,則 f (x)除以 x −1的餘式為__⑨⑩__ 。
#496498
B.擲三枚均勻硬幣,遊戲規定如下:同時擲三枚均勻硬幣一次,若恰有一枚出現正面可得10元,恰有二枚出現正面可得20元,恰有三枚出現正面可得 30 元,未出現正面則需付出 x元。若希望這是公平的遊戲,則 x應該訂為__⑪⑫⑬__元。
#496506
C.在下圖5×5的黑白相間的固定棋盤中,選取1個黑方格與1個白方格。選出的黑方格與白方格不在同一行也不在同一列,則選擇的方法有__⑭⑮__種。
#496499
(1) 設金星與太陽的平均距離為 d金 ,請以 α 及 β 表示 d金 。
#496500
(2)已知d金為0.7天文單位,且火星與太陽的平均距離比金星與太陽的平均距離多 0.9(天文單位),求 α 及 β 。
#496501
(3)承上題,請求出地球與太陽的平均距離。
#496502
(1) 求明碼數組 (1, 2 , 3) 的密碼數組。
#496503
(3)已知密碼可透過一個三階方陣A來轉換成明碼,即,求此三階方陣 A。
#496505
18. 已知某人的農地收成時,甲水果每公畝可獲利6萬元、乙水果每公畝可獲利 7 萬元。 試求某 人種植甲、乙兩種水果的最大獲利為多少萬元 ? 在答題卷求解區寫出計算過程,並在答題卷作圖區畫出可行解區域及標出其所有頂點坐標,且以斜線標示該區域 。( 非選擇題, 8 分 )
#553361
17. 試將某人對甲面積、乙面積所設定的三個條件,以 x、 y 的 二元一次聯立不等式 表示 。( 非 選擇題 , 4 分 )
#553360
相關試卷
114年 - 114 大學入學考試中心_分科測驗:數學乙#131153
114年 · #131153
110年 - 110 大學入學考試中心_指定科目考試:數學乙#99979
110年 · #99979
109年 - 109(補考) 大學入學考試中心_指定科目考試:數學乙#89674
109年 · #89674
109年 - 109 大學入學考試中心_指定科目考試:數學乙#87876
109年 · #87876
108年 - 108 大學入學考試中心_指定科目考試:數學乙#97808
108年 · #97808
107年 - 107 大學入學考試中心_指定科目考試:數學乙#97823
107年 · #97823
106年 - 106 大學入學考試中心_指定科目考試參考試卷:數學乙#114987
106年 · #114987
106年 - 106 大學入學考試中心_指定科目考試:數學乙#62741
106年 · #62741
105年 - 105 大學入學考試中心_指定科目考試:數學乙#53359
105年 · #53359
104年 - 104 大學入學考試中心_指定科目考試:數學乙#114989
104年 · #114989