阿摩線上測驗
登入
首頁
>
專科學力鑑定◆專(一):微積分
>
109年 - 109 自學進修專科學校學力鑑定_機械工程、造船工程、工業工程、紡織工程、製鞋技術、機電工程、礦冶工程、化學工程、環境工程、陶業工程_專業科目(一):微積分#92585
> 試題詳解
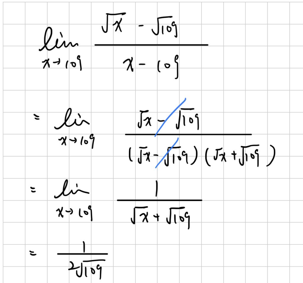
1.
?
(A)
(B)
(C)
(D)
答案:
登入後查看
統計:
A(4), B(2), C(0), D(2), E(0) #2509541
詳解 (共 2 筆)
立志改變教育的同學
B3 · 2023/02/24
#5730582
(共 1 字,隱藏中)
前往觀看
0
0
西西
B1 · 2022/12/07
#5673854
0
0
相關試題
2. 設,則 g(x)的定義域為下列何者? (A)(2020,∞)(B)[2020,∞)(C)[109,∞)(D)
#2509542
3. 已知x2-xy-y2=1,則=? (A) (B) (C) (D) 不存在
#2509543
4. 若,則 g'(1) =? (A)(B) (C) (D)
#2509544
5.,則 g'(0) =? (A) 1 (B) 0 (C) -1 (D) 不存在
#2509545
6.=? (A) 0 (B) (C) 109! (D) 不存在
#2509546
7. 若 ,則h(x)的臨界點為何? (A) x =1,2 (B) x = 1, -2 (C) x = -1,2 (D) x = -1,-2
#2509547
8. 已知, ,則 f (x)在[1,3]中最小值發生在何處? (A) x = 3 (B) (C) (D) x =1
#2509548
9. 若 sin x4 的麥克勞林級數(Maclaurin series)為 a0+a1x+a2x2+a3x3+a4x4+... ,考慮其前21 項係數a0,a1,...,a20 ,下列何者為真? (A) a1≠0 (B) a4= 0 (C) a8= 0 (D) a12= 0
#2509549
10. 已知=? (A) ln2 (B) π ln 2 (C) 2π ln 2 (D) 2lnπ
#2509550
11. 求極限=? (A) 0 (B) (C) (D) 1
#2509551
相關試卷
114年 - 114 教育部自學進修專科學校學力鑑定考試試題_機械、造船、工業、紡織、製鞋技術、機電、礦冶、化學、環境、陶業工程:微積分#137361
2025 年 · #137361
113年 - 113 教育部自學進修專科學校學力鑑定考試試題_機械、造船、工業、紡織、製鞋技術、機電、礦冶、化學、環境、陶業工程:微積分#125592
2024 年 · #125592
112年 - 112 教育部自學進修專科學校學力鑑定考試試題_機械、造船、工業、紡織、製鞋技術、機電、礦冶、化學、環境、陶業工程:微積分#122387
2023 年 · #122387
111年 - 111 自學進修專科學校學力鑑定_機械工程、造船工程、工業工程、紡織工程、製鞋技術、機電工程、礦冶工程、化學工程、環境工程、陶業工程_專業科目(一):微積分#111751
2022 年 · #111751
110年 - 110 自學進修專科學校學力鑑定_機械工程、造船工程、工業工程、紡織工程、製鞋技術、機電工程、礦冶工程、化學工程、環境工程、陶業工程:微積分#103910
2021 年 · #103910
109年 - 109 自學進修專科學校學力鑑定_機械工程、造船工程、工業工程、紡織工程、製鞋技術、機電工程、礦冶工程、化學工程、環境工程、陶業工程_專業科目(一):微積分#92585
2020 年 · #92585
108年 - 108 專科學校畢業程度自學進修學力鑑定_機械工程、造船工程、工業工程、紡織工程、製鞋技術、機電工程、礦冶工程、化學工程、環境工程、陶業工程_專業科目(一):微積分#81354
2019 年 · #81354
107年 - 107 專科學校畢業程度自學進修學力鑑定_機械工程、造船工程、工業工程、紡織工程、製鞋技術、機電工程、礦冶工程、化學工程、環境工程、陶業工程_專業科目(一):微積分#78929
2018 年 · #78929
106年 - 106 專科學校畢業程度自學進修學力鑑定_機械工程、造船工程、工業工程、紡織工程、製鞋技術、機電工程、礦冶工程、化學工程、環境工程、陶業工程_專業科目(一):微積分#72468
2017 年 · #72468
105年 - 105 專科學校畢業程度自學進修學力鑑定_機械工程、造船工程、工業工程、紡織工程、製鞋技術、機電工程、礦冶工程、化學工程、環境工程、陶業工程_專業科目(一):微積分#72561
2016 年 · #72561