阿摩線上測驗
登入
首頁
>
國營事業◆1.電路學 2.電子學
>
107年 - 107 經濟部所屬事業機構_新進職員甄試_電機、儀電:1.電路學 2.電子學#92331
> 試題詳解
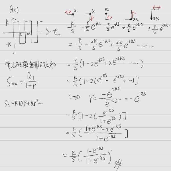
17. 右圖所示週期為 2a 之方形波,求其拉氏轉換式為下列何者?
(A)
(B)
(C)
(D)
答案:
登入後查看
統計:
A(18), B(25), C(29), D(119), E(0) #2499930
詳解 (共 2 筆)
Neng Kuan Lin
B1 · 2020/12/23
#4453435
F[s]=k/s*e -0s-2k/s*...
(共 319 字,隱藏中)
前往觀看
10
0
gortsoa
B2 · 2025/06/09
#6469149
5
0
相關試題
1. 有一台抽水機,其速率 600 公升/秒,將水由地下 10 公尺抽至高 20 公尺之水塔上,則抽水機 之功率為何?(A)236 仟瓦 (B) 216 仟瓦 (C) 177 仟瓦 (D) 168 仟瓦
#2499914
2. 額定為 100 W及100 V 之燈泡 2 只,串接於 100 V 之電壓,則每只燈泡消耗功率為何? (A) 25 W (B) 50 W (C) 100 W (D) 200 W
#2499915
3. 右圖電路中之各電阻器均為 1Ω,則 Rab等於下列何者? (A) ( 1 − ) Ω (B) ( 1 + ) Ω (C) ( 2 + ) Ω (D) ( 2 + ) Ω
#2499916
4. 依右圖所示電路,下列敘述何者正確? (A) VAC = 6 V (B) VAB = 6 V (C) I=2.5 A (D) VAC = 1.25 V
#2499917
5. 求右圖電路中伏特計的讀值為何? (A) 13.4 V (B) 13 V (C) 12.4 V (D) 12 V
#2499918
6. 有一落後功率因數 0.7 的負載,並從 100 V 的有效值電壓源吸收 350 W 的平均功率。如果改 善電路的功率因數為 1 時,試求改善後可節省多少安培之有效值的電流? (A) 5 A (B) 3.5 A (C) 2 A (D) 1.5 A
#2499919
7. 依右圖所示電路,當 S 閉合後,經 t = 3 × 10−3 秒後,電感器的端電壓uL為何? (A) 1.2 V (B) 2.4 V(C)2.8 V (D) 3.6 V
#2499920
8. 60 μF 之電容器,帶有 10 庫倫之電荷,其儲存之電能為多少? (A) 8.3 焦耳 (B) 8.3 × 102 焦耳 (C) 0.83 × 105 焦耳 (D) 0.83 × 106 焦耳
#2499921
9. 電爐之電阻為100 Ω,若通過之電流為 1.5 安培,使用 3 分鐘,將產生多少焦耳之電能,合計多少卡? (A) 9405 卡 (B) 9470 卡 (C) 9530 卡 (D) 9720 卡
#2499922
10. 若一發電機的旋轉角速度為 314 弳/秒,於 t = 0.005 秒時之旋轉角度為下列何者? (A) 30 度 (B) 60 度 (C) 90 度 (D) 180 度
#2499923
相關試卷
114年 - 114 台灣電力公司_大學及研究所獎學金甄選試題_電驛:電路學、電子學及保護協調#137052
2025 年 · #137052
114年 - 114 經濟部所屬事業機構_新進職員甄試試題_電機、儀電:1 .電路學 2 .電子學#136976
2025 年 · #136976
113年 - 113 經濟部所屬事業機構_新進職員甄試_電機(一)、電機(二)、儀電:電路學、電子學#123749
2024 年 · #123749
112年 - 112 經濟部所屬事業機構_新進職員甄試試題_電機、儀電:1.電路學 2.電子學#116960
2023 年 · #116960
111年 - 111 經濟部所屬事業機構_新進職員甄試_電機(一)、電機(二)、儀電:1.電路學 2.電子學#111368
2022 年 · #111368
110年 - 110 經濟部所屬事業機構_新進職員甄試_電機(一)、電機(二)、儀電:1.電路學 2.電子學#103646
2021 年 · #103646
109年 - 109 經濟部所屬事業機構_新進職員甄試_電機、儀電:1.電路學 2.電子學#92825
2020 年 · #92825
108年 - 108 經濟部所屬事業機構_新進職員甄試_電機、儀電:1.電路學 2.電子學#80841
2019 年 · #80841
107年 - 107 經濟部所屬事業機構_新進職員甄試_電機、儀電:1.電路學 2.電子學#92331
2018 年 · #92331
107年 - 107 中華郵政股份有限公司_職階人員甄試_營運職/電機工程:電路學與電子學#68276
2018 年 · #68276