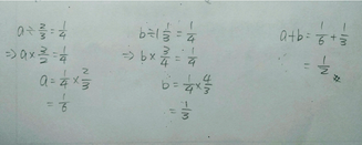
4. 若
,則下列敘述何者正確?
(A)
(B)
(C)
(D)
答案:登入後查看
統計: A(80), B(119), C(2187), D(854), E(0) #556761
統計: A(80), B(119), C(2187), D(854), E(0) #556761
詳解 (共 10 筆)
#804165
*
59
0
#1434602
這題很容易因為分數除法的習慣性計算,在移項的過程中除換成乘,分母分子就自動換位子,但其實這題不用阿...
41
0
#961870

15
0
#1261976
a.b都是被除數
所以求a.b要把除數X商=被除數
9
1
#1242082
算a=3/8跟b=3/16的請推回題目,3/8除2/3=9/16 所以,跟題目就不一樣了!其實我也是算成9/16
9
0
#1005942
這題答案應該是
(D) a+b= 9/16
4
4
#1255459
我被騙了....
2
1