阿摩線上測驗
登入
首頁
>
自動控制學
>
113年 - 113 高等考試_二級_機械工程:自動控制學#123065
> 申論題
題組內容
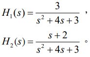
一、若 r 為一脈衝函數(Impulse function),輸入給下列兩個系統,H
1
(s) 與H
2
(s) ;
(二)如果 r 改為一步階函數(Step function) ,則輸出響應位移的穩態值又各為何?(10 分)
相關申論題
(一)對於輸出響應位移的穩態值各為何?(10 分)
#523568
(一)畫出根軌跡(Root locus)的圖形(含漸近線角度、分離點、中心點、 臨界穩定點等資訊) 。(15 分)
#523570
(二)如果此特徵方程式變成s ( s + 4)( s + 6) + k2 (s + 10) = 0 畫出根軌跡的圖形(含漸近線角度資訊) 。(10 分)
#523571
(三)比較說明(一)與(二)在控制器設計的差異為何?(5 分)
#523572
三、繪出下列轉移函數(Transfer function)的波德圖(Bode plot) :
#523573
(一)求出式中之 A、B、C。(15 分)
#523574
(二)如果要求系統的閉迴路輸出響應之其中一個極點配置於-20 ,同時另 外一個 2 階系統之實數部分之極點為-2,且此 2 階系統之阻尼比為0.5。求此系統的特徵方程式為何?(5 分)
#523575
(三)求出所需要之迴授控制 u = -KX 之 K 為何?(10 分)
#523576
(二)試在複數平面上畫出此閉迴路極點的範圍使系統滿足:超越量百分比 (percent overshoot)%OS<10%(亦即阻尼比 ξ>0.6 ),且 2%安定時間 (settling time)小於 8 秒。(20 分)
#570293
(一)試求此開迴路之轉移函數 G(s) 。(5 分)
#570292
相關試卷
115年 - 115 關務特種考試_三等_機械工程(選試英文):自動控制#138983
115年 · #138983
114年 - 114 高等考試_二級_機械工程:自動控制學#131590
114年 · #131590
114年 - 114 關務特種考試_三等_機械工程(選試英文):自動控制#126653
114年 · #126653
113年 - 113-2 國營臺灣鐵路股份有限公司_從業人員甄試_第8階-助理工程師-電機:自動控制#137141
113年 · #137141
113年 - 113 高等考試_二級_機械工程:自動控制學#123065
113年 · #123065
113年 - 113 關務特種考試_三等_機械工程(選試英文):自動控制#119475
113年 · #119475
112年 - 112 地方政府特種考試_三等_機械工程:自動控制#118354
112年 · #118354
112年 - 112 高等考試_二級_機械工程:自動控制學#116760
112年 · #116760
112年 - 112 高等考試_三級_機械工程:自動控制#115741
112年 · #115741
112年 - 112 關務特種考試_三等_機械工程:自動控制#113920
112年 · #113920