阿摩線上測驗
登入
首頁
>
自動控制學
>
114年 - 114 關務特種考試_三等_機械工程(選試英文):自動控制#126653
> 申論題
題組內容
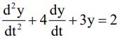
一、考慮一個二階機械系統的微分方程式如下:
(二)若系統的初始條件為 y(0) = 0 ;
= 0 。求此微分方程式的響應解以及最終穩態值為多少?(15 分)
相關申論題
(一)此系統為欠阻尼(underdamped)系統還是過阻尼(overdamped)系統?阻尼比為多少?(10 分)
#538419
二、畫出下列開迴路轉移函數系統之根軌跡,(20 分)其中 K 值為正值,系統隨著 K 值的增益調整放大,請說明系統是否穩定?(5 分)
#538421
三、以漸近線(asymptote)的方式繪出下列轉移函數的波德圖(Bode plot)。(25 分)
#538422
(一)當希望輸入 R 與輸出 Y 之間的轉移函數其自然頻率表現為3弳/秒(rad/s)時,這時比例控制器Kp增益值為多少?(10 分)
#538423
(二)如果將受控系統之輸出設計一速度迴授機制,如圖所示。請寫出系統輸入輸出間之動態微分方程式(differential equation)。(10 分)
#538424
(三)說明兩個不同系統方塊圖,在系統響應上其阻尼比的差異為何?(5 分)
#538425
(二)試在複數平面上畫出此閉迴路極點的範圍使系統滿足:超越量百分比 (percent overshoot)%OS<10%(亦即阻尼比 ξ>0.6 ),且 2%安定時間 (settling time)小於 8 秒。(20 分)
#570293
(一)試求此開迴路之轉移函數 G(s) 。(5 分)
#570292
(三)若 K = 1,試求此閉迴路系統對單位等速輸入(unit ramp input)之穩態誤差。(5 分)
#570291
(二)若希望此閉迴路系統之阻尼比為 0.5,試求 K 之值。(10 分)
#570290
相關試卷
115年 - 115 關務特種考試_三等_機械工程(選試英文):自動控制#138983
115年 · #138983
114年 - 114 高等考試_二級_機械工程:自動控制學#131590
114年 · #131590
114年 - 114 關務特種考試_三等_機械工程(選試英文):自動控制#126653
114年 · #126653
113年 - 113-2 國營臺灣鐵路股份有限公司_從業人員甄試_第8階-助理工程師-電機:自動控制#137141
113年 · #137141
113年 - 113 高等考試_二級_機械工程:自動控制學#123065
113年 · #123065
113年 - 113 關務特種考試_三等_機械工程(選試英文):自動控制#119475
113年 · #119475
112年 - 112 地方政府特種考試_三等_機械工程:自動控制#118354
112年 · #118354
112年 - 112 高等考試_二級_機械工程:自動控制學#116760
112年 · #116760
112年 - 112 高等考試_三級_機械工程:自動控制#115741
112年 · #115741
112年 - 112 關務特種考試_三等_機械工程:自動控制#113920
112年 · #113920