阿摩線上測驗 登入

申論題資訊

試卷:106年 - 106 高等考試_二級_機械工程:自動控制學#65625
科目:自動控制學
年份:106年
排序:0

題組內容

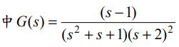
三、對於如下圖之單位負迴授系統(unity negative feedback control system),且K ≤ 0,其 中

申論題內容

⑴利用羅斯表(Routh-Hurwitz Table)推導該系統為穩定時,所需比例增益 K 之範圍 為何?