阿摩線上測驗
登入
首頁
>
工程數學(應用數學, 線性代數、微分方程、複變函數與機率)
>
100年 - 100 鐵路特種考試_高員三級_電力工程、電子工程:工程數學#35872
> 申論題
申論題
試卷:100年 - 100 鐵路特種考試_高員三級_電力工程、電子工程:工程數學#35872
科目:工程數學(應用數學, 線性代數、微分方程、複變函數與機率)
年份:100年
排序:0
申論題資訊
試卷:
100年 - 100 鐵路特種考試_高員三級_電力工程、電子工程:工程數學#35872
科目:
工程數學(應用數學, 線性代數、微分方程、複變函數與機率)
年份:
100年
排序:
0
題組內容
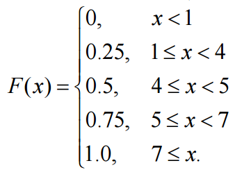
四、假設隨機變數 X 的累積分布函數(cumulative distribution function)F(x)為
申論題內容
⑶試求 P(2.5<X<6)