阿摩線上測驗
登入
首頁
>
計算機數學
>
108年 - 108 一般警察特種考試_二等_刑事警察人員犯罪分析組:計算機數學(包括離散數學、機率與統計)#77048
> 申論題
題組內容
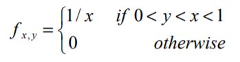
八、連續隨機變數(Continuous Random Variables)X, Y 的聯合機率密度函數 (Joint Probability Density Function)定義如下:
⑵計算 E[Y]。(5 分)
相關申論題
一、假設 G 為一無向權重圖(Undirected Weighted Graph) ,若 G 的邊上權重 值(Edge Weight)均不相同,G 的最小擴張樹(Minimum Spanning Tree) 是否為唯一。若不是,請舉例說明;若是請說明其理由。(10 分)
#311732
二、集合 S n = {1, 2, ..., n },若 an 代表 Sn 子集合中不含連續數字的全部子集合 個數(不含空集合) 。請用遞迴關係式表示 an 及給予初始值。(10 分)
#311733
三、F(x,y)代表邏輯敘述(Statement)「x 可以欺騙 y」,請用邏輯關係式 (Logical Expression)表示下列敘述「有一些人是不會被任何人欺騙的」 。 (10 分)
#311734
四、8 個不同的球,丟到 3 個不同的盒子,每個盒子至少有一個球,共有多 少種不同的方法?(10 分)
#311735
五、一袋中有 4 個紅色球 4 個藍色球,若每次從袋中取出 2 個球後,不放回 球袋中,總共可取 4 次,每次取出都是 1 個紅色球及 1 個藍色球的機率 為何?(10 分)
#311736
六、擲一公平硬幣 50 次,用中央極限定理(Central Limit Theorem)估算硬 幣正面出現低於 20 次的機率,解答僅需列出數學公式。 (10 分)
#311737
七、重複丟一骰子,若丟出的數字為 6 則立即停止。若丟出的骰子數字為 k, 1 ≤ k ≤ 5 ,則等待 k 分鐘後再丟此骰子。從開始丟骰子到停止丟骰子, 預期要花多少時間?(10 分)
#311738
⑴計算 E[X]。(5 分)
#311739
九、一間成衣生產工廠生產的成衣有 5%是有瑕疵的,倘若隨機抽取 475 件成 衣做為樣本,瑕疵的比例介於 4%到 6%之間的機率是多少?解答僅需列 出數學公式。(10 分)
#311741
十、新聞報導「成功訪問了 950 人,在 95%的信心水準下,有 62%的人覺得 今年 2 月份的氣候較往年溫暖,抽樣誤差在 3.3%之內」,說明此段話所 指「信心水準」 、「抽樣誤差」之意義。(10 分)
#311742
相關試卷
114年 - 114 專技高考_資訊技師:計算機數學#133718
114年 · #133718
113年 - 113 專技高考_資訊技師:計算機數學#123934
113年 · #123934
112年 - 112 專技高考_資訊技師:計算機數學#117661
112年 · #117661
111年 - 111 專技高考_資訊技師:計算機數學#111929
111年 · #111929
110年 - 110 專技高考_資訊技師:計算機數學#104224
110年 · #104224
109年 - 109 專技高考_資訊技師:計算機數學#93316
109年 · #93316
108年 - 108 專技高考_資訊技師:計算機數學#80856
108年 · #80856
108年 - 108 一般警察特種考試_二等_刑事警察人員犯罪分析組:計算機數學(包括離散數學、機率與統計)#77048
108年 · #77048
107年 - 107 專技高考_資訊技師:計算機數學#73027
107年 · #73027
107年 - 107 一般警察特種考試_二等_刑事警察人員犯罪分析組:計算機數學(包括離散數學、機率與統計)#69662
107年 · #69662