所屬科目:計算機數學
一、請用數學歸納法證明,對所有的正整數 n 滿足下列性質。(10 分)
二、計算下列算式之值。(10 分) ,其中 C(100, i)為 100 個取 i 個的組合。
四、求出下列遞迴關係式的一段式。(10 分)
五、若字串為三個字母 X、Y、Z 組成, 代表長度為 n(n>0),且不包含連 續兩個 X 的字串總數,請計算a1 、a2 ?給出的線性遞迴關係式(Linear Recurrence Relation)。(10 分)
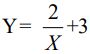
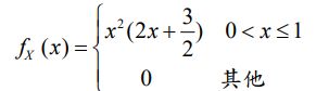
十、若 X 為一連續隨機變數定義如下:隨機變數,請計算 Var〔Y〕,其中 Var〔Y〕為變異數。(10分)