阿摩線上測驗 登入

申論題資訊

試卷:100年 - 100年高考三級自動控制#45928
科目:自動控制學
年份:100年
排序:0

題組內容

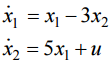
四、某一兩階線性系統之動態特性可由下列狀態方程式描述之:
  狀態迴授控制器設定為 u = −k1 x1 − k 2 x 2 ,其中 k1 與 k 2 為兩個正實數常數。

申論題內容

⑴試找出此閉迴路系統具有無阻尼自然頻率ω n = √2 rad / sec 時之k1 與k 2 關係式。(10 分)