阿摩線上測驗
登入
首頁
>
工程數學(應用數學, 線性代數、微分方程、複變函數與機率)
> 101年 - 101 地方政府特種考試_三等_電力工程、電子工程、電信工程:工程數學#31686
101年 - 101 地方政府特種考試_三等_電力工程、電子工程、電信工程:工程數學#31686
科目:
工程數學(應用數學, 線性代數、微分方程、複變函數與機率) |
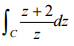
年份:
101年 |
選擇題數:
20 |
申論題數:
8
試卷資訊
所屬科目:
工程數學(應用數學, 線性代數、微分方程、複變函數與機率)
選擇題 (20)
1 下列何者為函數 f(t) = cos(2t+10)之拉氏轉換?
2 已知y
1
=x
2
及y
2
=x-1 為(x
2
-2x)y''+2(1-x)y'+2y=0 之兩獨立解。則下列何者為(x
2
-2x)y''+2(1-x)y'+2y=6(x
2
-2x)
2
之通解?
(A)c
1
x
2
+c
2
(x-1)+x
4
-4x
3
,其中c
1
及c
2
為任意常數
(B)c
1
x
2
+c
2
(x-1)-
-9x
4
,其中c
1
及c
2
為任意常數
(C)c
1
x
2
+c
2
(x-1)-
-9x
4
,其中c
1
及c
2
為任意常數
(D)c
1
x
2
+c
2
(x-1)5x
4
+8x
3
,其中c
1
及c
2
為任意常數
3 已知微分方程式 y′ +αy=g(x) 的通解為y(x)=ce
-3x
+2xe
-3x
,其中 α、c 為常數,g(x)為未知函數,求 α 及 g(x)。
(A) α =-3,g(x)=2xe
-3x
(B) α =-3,g(x)= 4e
-3x
(C) α =-3,g(x)=2e
-3x
(D)α =-3,g(x)=4xe
-3x
4 函數 f (t)之拉氏轉換(Laplace transform)為 L{f(t)},令 F(s)=
,則 F(2)等於何 值?
(A)1/40 (B)1/20 (C)1/4 (D)1/2
5 已知微分方程式
,其解為: (A) y=x
2
-2x
-3
(B) y=x
2
+2x
-3
(C) y=x
-2
-2
(D)y=x
-2
-2x
-3
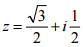
6 令複數 z=x+iy,則方程式
之幾何圖形為何? (A)橢圓(B)拋物線(C)圓形(D)雙曲線
7 設複數
,其中i=√-1,則z
40
之值為何?
8 假設複數 z=x+iy,已知 z
c
=e
ciog z
,其中 c 為任意複數值(complex number),試問 (-i)
i
的主要值(principal value)為何?
(A)
(B)1 (C)
(D)0
9 假設路徑 C 為一逆時針方向的半圓形封閉路徑的邊界,其數學定義式為 z=2e
iθ
(0 ≤θ≤π ),試求 之值
。
(A)2πi(B)4πi(C)4+2πi (D)-4+2πi
10 有一曲面z
2
=x
2
-y
2
,下列何者為經過點(1,1,1)且為該曲面之法線向量?
(A)2i-2j-2k
(B)2i+2j-2k
(C)-2i+2j-2k
(D)-2i-2j-2k
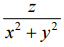
11 在溫度場(temperature field)中,已知熱流(heat flow)之方向為溫度變小最急遽(maximum decrease) 的方向,今有一溫度場T(x,y,z)=
,其於點 P (0,1,2)之熱流方向為何?
(A) [0,4,-1]
(B) [0,-4,1]
(C) [1,0,4]
(D) [-1,0,-4]
12 下列何者為線積分 ∫
C
xyzds 之值?其中C 的參數化表示式為ㄌ= 2t ; y= 2t; z = t+3,而0 ≤ t ≤1 ,S(t) 為 曲線C 之長度函數。
13 設
,試求矩陣 A 與 B 之秩(rank)相加值為何?
(A) 4(B)5 (C)6 (D)7
14 下列何者錯誤?
(A)在 R
2
空間中,0 向量正交於所有的向量
(B)在R
3
空間中,0 向量正交於所有的向量
(C)向量
(D) 向量
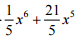
15 若
,則A
n
=?
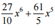
16 若
,試求行列式
(A)22 (B)24 (C)26(D)28
17 若
,試求 A 所有特徵值相加之值。 (A)-1 (B)1 (C)2 (D)4
18 兩連續隨機變數 X、Y 之結合機率密度函數(joint probability density function)為
,求機率 P(Y ≤0.2|X=0.4)
19 若 X 為一連續隨機變數(continuous random variable),其機率密度函數(probability density function)為
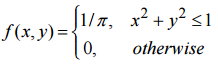
20 假設兩個隨機變數 均勻分布在單位圓的內部,其聯合機率密度函數(joint probability density function)為
,試算出隨機變數 X 的期望值(mean)為何?
(A)0(B)0.5(C)1(D)1/π
申論題 (8)
⑴試求矩陣 A 特徵值λ
1
,λ
2
。(2 分)
【已刪除】⑵若
,試求矩陣 P。(3 分)
【已刪除】⑶求解
。(10 分)
【已刪除】二、設曲線 C 的參數表示式為x = 2cos(t) ;y = 2sin(t) ;z = 3,其中
, 而沿其 C 曲線之質量密度函數(mass density function)為δ(x,y,z)=xy
2
求其質量中心為何。(15 分)
⑴求 ||f ||。(5 分)
⑵求 f 與 g 間之距離d( f ,g)。(5 分)
⑴E[(3+2X)
2
]=?(5 分)
⑵Var[5+3X]=?(5 分)
相關試卷
114年 - 114 專技高考_電機工程技師:工程數學(包括線性代數、微分方程、複變函數與機率)#133679
114年 · #133679
114年 - 114 專技高考_電子工程技師:工程數學(包括線性代數、微分方程、向量分析、複變函數與機率)#133677
114年 · #133677
114年 - 114 調查特種考試_三等_電子科學組:工程數學#129578
114年 · #129578
114年 - 114 國家安全情報特種考試_三等_電子組(選試英文):工程數學#127780
114年 · #127780
113年 - 113 專技高考_電子工程技師:工程數學(包括線性代數、微分方程、向量分析、複變函數與機率)#123976
113年 · #123976
113年 - 113 專技高考_電機工程技師:工程數學(包括線性代數、微分方程、複變函數與機率)#123971
113年 · #123971
113年 - 113 調查特種考試_三等_電子科學組:工程數學#122110
113年 · #122110
113年 - 113 身心障礙特種考試_三等_電力工程:工程數學#119517
113年 · #119517
112年 - 112 地方政府特種考試_三等_電力工程、電子工程:工程數學#118376
112年 · #118376
112年 - 112 專技高考_電機工程技師:工程數學(包括線性代數、微分方程、複變函數與機率)#117639
112年 · #117639