所屬科目:台電◆工程力學概要
6.如【圖1】所示,A、B、C點均為鉸接,試問D點之彎矩值為多少? (A) 500 kg-m (B) 625 kg-m (C)750 kg-m (D) 875 kg-m
7.如【圖2】所示,使用4根直徑皆為16 mm之螺栓接合4塊厚度 皆為20 _之鋼板,若不考慮鋼板間之摩擦力,當拉力P=20000 kgf,則每支螺栓承受之平均剪應力為多少?(最接近值) (A) 1250 kgf/cm2 (B) 2500 kgf/cm2 (C) 5000 kgf/cm2 (D) 7500 kgf/cm2
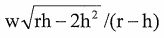
8•如【圖3】所示之均勻圓柱,重量為w,半徑為r,推上高度h 之階梯形障礙物,所需的作用力P為多少?
(A)(B)(C)(D)
9•如【圖4】所示,有一長度L之懸臂梁於自由端受集中荷重 P作用,產生撓度5,則同樣斷面受同大荷重時,欲使自由 端撓度變為45,則梁長變為L之多少倍? (A)2 (B)√2 (C)√2 (D) √4
14. 承第13題,其剪力圖之形狀為:(A)(B)(C)(D)
15.承第13題,其彎矩圖之形狀為:(A) (B) (C)(D)