所屬科目:台電◆工程力學概要
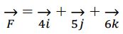
1.如有一力量,其空間向量大小應為何? (A)(B)(C) (D)
2.試問此力在 X 軸向分量大小為何? (A) 30 N (B) 40 N (C) 50 N (D) 60 N
3.承上題,試問此力在 Y 軸向分量大小為何?(A) 30 N (B) 40 N (C) 50 N (D) 60 N
4.承上題,試問此力在 Z 軸向分量大小為何?(A) 100 N (B) 110 N (C) 120 N (D) 130 N
5.試求拉力 P 為多少時即可拉動此木箱? (A) 50 N (B) 40 N (C) 30 N (D) 20 N
6.承上題,當此拉力 P =100 N,試問拉動木箱始移動時之最大靜摩擦力為何?(A) 20 N (B) 24 N (C) 27 N (D) 30 N
7.承上題,當此拉力 P =100 N,木箱與地面動摩擦係數為 0.2,試問拉動木箱移動中之動摩擦力為何? (A) 15 N (B) 18 N (C) 21 N (D) 24 N
8.下列敘述何者正確?(A)重力、摩擦力、磁力皆為超距力(B)速度、位移、加速度皆為向量(C)牛頓(N)、公斤(kg)、公斤重(kgw)皆為力量單位(D)動摩擦係數大於靜摩擦係數
9.材料受到拉伸應力變形時,破壞前能承受很大應變稱為延性材料,下列何者非屬延性材料?(A)金 (B)玻璃 (C)銀 (D)鋁
10.有關桁架結構的敘述,下列敘述何者有誤?(A)外力皆作用在節點上,由節點傳遞力量 (B)為二力桿件傳遞拉力及壓力(C)可以承受剪力或彎矩傳遞 (D)各桿件節點均假設為鉸接
11.試問其蒲松比(Poisson's ratio)為何?(A) 0.2 (B) 0.25 (C) 0.3 (D) 0.35
12.承上題,此鋼棒材料之楊氏模數為 E,剪力模數為 G,試求剪力模數 G 為何?(A) E/2.7 (B) E/2.6 (C) E/2.5 (D) E/2.4
13.承上題,此鋼棒材料之剪力模數為 2×106 kgf/cm2,慣性矩為 I,試求楊氏模數 E 為何?(A) 4.6×106 kgf/cm2(B) 4.8×106 kgf/cm2(C) 5×106 kgf/cm2(D) 5.2×106 kgf/cm2
14.試問此矩形斷面對中性軸(型心軸)的慣性矩 I為何? (A) 10×203 /12 cm4 (B) 20×103 /12 cm4 (C) 10×203 /6 cm4 (D) 20×103 /6 cm4
15.承上題,此懸臂梁固定端 A 點承受之反力大小為何?(A) 0 kgf (B) 10 kgf (C) 50 kgf (D) 100 kgf
16.承上題,此懸臂梁固定端 A 點承受之彎矩為何?(A) 1000 kgf-cm2(B) 100 kgf- cm2(C) 1000 kgf-cm (D) 100 kgf-cm
17.承上題,此懸臂梁固定端 A 點之梁中性軸下方 5 cm (d 點)之彎曲應力為何?(A) 0.5 kgf/cm2(B) 0.75 kgf/cm2(C) 1 kgf/cm2(D) 1.5 kgf/cm2
18.試問該平面最大主應力為多少 psi?(A) 6000 (B) 10000(C) 16000 (D) 22000
19.承上題,試問該平面最小主應力為多少 psi?(A) 3000 (B) 4000(C) 5000 (D) 6000
20.承上題,試問該平面最大剪應力為多少 psi?(A) 3000 (B) 4000 (C) 5000 (D) 6000
21.承上題,試問該平面最大剪應力發生時傾斜角為多少度?(A) 15 (B) 25 (C) 35 (D) 45
22.若二力方向相同,且同時作用於一點,當其合力為最大值時,試問此二力夾角多少度?(A) 0 (B) 45 (C) 90 (D) 180
23.下列何者為質量之單位?(A) kg/cm2(B) kg/cm (C) kg-cm (D) kg
24.試問此材料測試在A 點以前是線性彈性階段,遵守以下何種定律?(A)虎克定律 (B)牛頓定律(C)彈塑性定律 (D)莫非定律
25.承上題,此線性彈性階段的應力和應變之比值,下列何者正確?(A)剪力模數 (B)楊氏模數 (C)斷面模數 (D)塑性模數
26.承上題,此線性彈性階段之材料受拉應力 σ=200 kgf/cm2 作用後,應力和應變之比值2×106kgf/cm2,試問此時之應變ε為何?(A) 0.001 (B) 0.0001 (C) 0.001 kgf/cm2(D) 0.0001 kgf/cm2
27.承 24 題【圖 4】所示,下列敘述何者有誤?(A) B 點到 C 點材料是塑性狀態 (B) C 點到 D 點階段材料產生應變硬化(C) D 點到 E 點階段材料產生頸縮並且斷裂 (D) E 點之斷裂強度即為材料降伏強度
28.試問當 X=20 cm,此時 A 點承受之反力大小為何?(A) 0 N (B) 50 N(C) 100 N (D) 150 N
29.承上題,此時 A 點承受之反力方向為何?(A)↓ (B)↑ (C) ← (D) →
30.承上題,此時 B 點承受之反力大小為何?(A) 0 N (B) 50 N (C) 100 N (D) 150 N
31.承上題,此時 B 點承受之反力方向為何?(A)↓ (B)↑ (C) ← (D) →
32.承上題,此時梁承受之最大彎矩為何?(A) 500 N-cm (B) 1000 N-cm (C) 1500 N-cm (D) 2000 N-cm
33.承 28 題【圖 5】所示,假如 A 點不承受任何反力,試問此時 X 為多少公分?(A) 20 (B) 25 (C) 30 (D) 35
35.承上題,此時 A 點承受之反力大小為何?(A) 5 KN (B) 10 KN (C) 15 KN (D) 20 KN
36.承上題,此時 A 點承受之彎矩大小為何?(A) 10 KN-m (B) 20 KN-m (C) 30 KN-m (D) 40 KN-m
37.承上題,此時 B 點位置,梁承受之彎矩大小為何?(A) 0 KN-m (B) 5 KN-m (C) 15 KN-m (D) 20 KN-m
38.承上題,此時 B 點至 C 點之間,梁承受之最大彎矩為何?(A) 10 KN-m (B) 12.5 KN-m (C) 15 KN-m (D) 17.5 KN-m
39.下列何者為純量?(A)速率 (B)力矩 (C)重量 (D)位移
40.如有一均質桿長度為 10 m,桿之熱膨脹係數為 0.001 cm/cm°C,當溫度均勻升高 20°C,試問桿之熱膨脹伸長量為多少公分?(A) 0.2 (B) 2 (C) 20 (D) 200