所屬科目:台電◆工程力學概要
2.試求該面積對 C 軸之慣性矩 IC 為多少? (A) (B) (C) (D)
3.承第 2 題,對 X 軸之慣性矩 IX 為? (A) (B) (C) (D)
27. 已知T形斷面 A 對水平形心軸之慣性矩為I,該梁之最大彎曲張應力為何? (A) (B) (C) (D)
28.承第27題,試求位於梁中央C點處,其斷面上D點之彎曲應力大小為何? (A) 0 (B) (C) (D)
29.承第27題,假設簡支梁之彈性模數為E,試求位於梁中央C點處之垂直撓度為多少? (A) (B) (C) (D)
30.承第 27 題,試問該簡支梁之最大剪應力為多少?(A) (B) (C) (D)
33.承第 32 題,該圓桿之最大剪應力為多少? (A) (B) (C) (D)
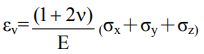
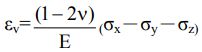
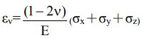
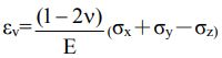
43.一物體受應力作用,其彈性模數為 E,蒲松比為ν,則其體積應變為多少?(A) (B) (C)(D)