阿摩線上測驗
登入
首頁
>
期貨、選擇權與其他衍生性商品
> 106年 - 106-4 期貨交易分析人員 - 期貨、選擇權與其他衍生性商品#69289
106年 - 106-4 期貨交易分析人員 - 期貨、選擇權與其他衍生性商品#69289
科目:
期貨、選擇權與其他衍生性商品 |
年份:
106年 |
選擇題數:
35 |
申論題數:
8
試卷資訊
所屬科目:
期貨、選擇權與其他衍生性商品
選擇題 (35)
1. 以發行者的角度看,發行一張可轉換公司債就如同: (A)賣出一般公司債並買入以發行公司股票為標的的買權 (B)賣出一般公司債並賣出以發行公司股票為標的的買權 (C)賣出一般公司債並買入以發行公司股票為標的的賣權 (D)賣出一般公司債並賣出以發行公司股票為標的的賣權
2. 一個利率交換合約可以視為下列那一種商品的投資組合? (A)利率上限 (B)利率下限 (C)遠期利率協定 (D)利率上下限
3. 上限型權證(Cap warrants)的特色為何? (A)是一種具有停利機制的權證 (B)是一種具有停損機制的權證 (C)是一種具有停利及停損機制的權證 (D)和一般權證一樣
4. 券商若要規避其所發行之認購權證的 Gamma 風險,則應採用下列何種工具? (A)期貨合約 (B)互換合約 (C)遠期合約 (D)選擇權合約
5. 投資者購買下列那一種商品可能不用支付權利金? (A)利率下限 (B)利率上限 (C)利率上下限 (D)利率買權
6. 牛熊權證的特色為何: (A)是一種具有停利機制的權證 (B)是一種具有停損機制的權證 (C)是一種具有停利及停損機制的權證 (D)和一般權證一樣
7. TAIFEX 大美人一口合約的價值為: (A) 2 萬美元 (B) 5 萬美元 (C) 10 萬美元 (D) 15 萬美元
8. 買入一單位歐式賣權加上買入一單位股票,於選擇權到期日之報酬(Payoff)型態,和下列那一 種交易相似? (A)買入一單位歐式買權 (B)買入一單位債券 (C)買入一單位歐式賣權 (D)賣出一單位歐式賣權
9.來達成目標 β 值為 0.8? (A) 166 口 (B) 190 口 (C) 243 口 (D) 343 口
10. 承上題若該基金經理人看好未來一個月的股市行情,而想把投資組合之 β 值提高為 2,且一個 月期大臺指當時的價格為 10,200 點,那麼他應該購入多少口一個月期大臺指,來達成目標 β 值為 2.0? (A) 136 口 (B) 156 口 (C) 245 口 (D) 345 口
11. 基本上市面上所推出來的保本商品皆可以解成: (A)零息債券 + 某一張股票 (B)零息債券 + 某一種類型的選擇權 (C)零息債券 - 某一種類型的選擇權 (D)零息債券 - 某一種類型的 ETF
12. 蝶狀價差(Butterfly Spread) 交易會使用幾組價差交易及幾個不同到期月份的期貨合約? (A) 2 組 2 個 (B) 2 組 3 個 (C) 3 組 2 個 (D) 1 組 2 個
13. 以標的物在選擇權有效期間之最低價作為履約價格的選擇權稱為: (A) Minimum call options (B) Minimum put options (C) Lookback call options (D) Lookback put options
14. 若某一投資者預期 Ted Spreads 會變小,則其可透過下列那一種交易來獲利? (A)買進美國國庫債券期貨同時賣出歐洲美元期貨 (B)賣出美國國庫債券期貨同時買進歐洲美元期貨 (C)買進美國國庫債券期貨同時也買進歐洲美元期貨 (D)賣出美國國庫債券期貨同時也賣出歐洲美元期貨
15. 某投資者預期台股會因北韓實施核武試爆而會大變動,則他可以採用下列那一種交易策略來獲利? (A) Long straddle (B) Short straddle (C) Bull vertical spread (D) Short vertical spread
16. 下列那一個為 TAIFEX 所推出的第一個外匯期貨合約? (A) USD/CHN 外匯期貨合約 (B) USD/NTD 外匯期貨合約 (C) USD/JPY 外匯期貨合約 (D) USD/ EUR 外匯期貨合約
17. 下列那一種情況下,美式買權的價格和歐式買權的價格一樣? (A)標的股票發放大額現金股利 (B)標的股票不發放任何現金股利 (C)標的股票發放小額現金股利 (D)以上皆是
18. 一張雙元貨幣債券(Dual Currency Bond)可以拆解成: (A)一張債券 + 一個外匯選擇權合約 (B)一張債券 + 一個外匯交換合約 (C)一張債券 + 一個外匯遠期合約 (D)一張債券 + 一個利率交換合約
19. CPPI 投資組合保險通常隱含何種動態操作? (A)買高賣低 (B)買低賣高 (C)持續買入不賣出 (D)持續賣出不買入
20. 標的物及到期期限皆相同的一般買權和回顧型(Lookback)買權兩者之價格關係為何? (A)一般買權價格=回顧型買權價格 (B)一般買權價格>回顧型買權價格 (C)一般買權價格<回顧型買權價格 (D)不一定
21. 那麼他可以從事下列那一種交易策略來獲利? (A)同時買 11 月份及 12 月份到期之大臺指 (B)同時賣 11 月份及 12 月份到期之大臺指 (C)買 11 月份到期之大臺指同時賣 12 月份到期之大臺指 (D)賣 11 月份到期之大臺指同時買 12 月份到期之大臺指
22. 同上題,若市場處於逆向市場(Inverted market)狀況,且投資者認為目前 11 月份到期之大臺指 和 12 月份到期之大臺指兩者之價差太大,預期兩者之價差未來會縮小,那麼他可以從事下列 那一種交易策略來獲利? (A)同時買 11 月份及 12 月份到期之大臺指 (B)同時賣 11 月份及 12 月份到期之大臺指 (C)買 11 月份到期之大臺指同時賣 12 月份到期之大臺指 (D)賣 11 月份到期之大臺指同時買 12 月份到期之大臺指
23. 標的物及到期期限皆相同的一般買權和亞洲式(Asian)買權兩者之價格關係為何? (A)一般買權價格=亞洲式買權價格 (B)一般買權價格>亞洲式買權價格 (C)一般買權價格<亞洲式買權價格 (D)不一定
24. 在台灣市場上所交易的 Asset swaps on Convertible Bonds,是以何種收益率交換市場指標利率? (A) Yield to Call (B) Yield to Put (C) Convertible Bonds 的票息 (D) Convertible Bonds 的轉換溢酬
25. 一個 4 年期的利率上限,每個子期為半年,則它一共可以拆成幾個 Caplet: (A)3 個 (B)5 個 (C)7 個 (D)9 個
26. 在做實物交割時,最便宜交割債券是由債券期貨那一方選定? (A)買方選定 (B)賣方選定 (C)買賣雙方共同選定 (D)結算所選定
27. 賣出 11 月份賣權,履約價格 10,500,買進 12 月份賣權,履約價格 10,500,此稱為: (A)水平價差交易(Horizontal Spread) (B)垂直價差交易(Vertical Spread) (C)對角價差交易(Diagnoal Spread) (D)買入跨式交易(Long Straddle)
28. 某券商發行以 X 股票為標的物之認售權證共 2,000 萬單位,其 delta 值為 0.5,該券商若欲達成 delta-neutral,則需交易多少股 X 股票? (A)買進 500 萬股 (B)放空 500 萬股 (C)買進 1,000 萬股 (D)放空 1,000 萬股
29. 券商發行一個權證,若要達成 Delta +Vega neutral,則理論上至少需要使用多少個其它選擇權 才能達成? (A)1 個 (B)2 個 (C)3 個 (D)4 個
30. 基本上市面上所推出來的 Equity-Linked Notes(ELN)商品皆可以解成: (A)零息債券 + 某一張股票 (B)零息債券 + 某一種類型的選擇權 (C)零息債券 - 某一種類型的選擇權 (D)零息債券 - 某一種類型的 ETF
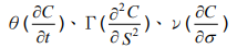
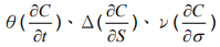
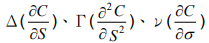
31. 根據 B-S 偏微分方程,下列哪三種避險比率只要知道其中兩種即可求出第三種?
(A)
(B)
(C)
(D)
32. 利率交換選擇權(Swaptions)的標的物為: (A)股票 (B)期貨 (C)選擇權 (D)利率交換合約
33. 一般而言,VIX 和股票指數走勢呈現: (A)正向關係 (B)反向關係 (C)不相關 (D)依市場多空而定
34. 一個 Call option on futures 的買方履約時: (A)只清算損益 (B)除了算損益同時取得標的期貨的買入部 位 (C)除了算損益同時取得標的期貨的賣出部位 (D)以上皆非
35. TAIFEX 一口大美人的契約價值是一口小美人的契約價值的幾倍? (A)2 倍 (B)3 倍 (C)4 倍 (D)5 倍
申論題 (8)
1. (1) 假設今天為 12 月 1 日,美國某一債券基金經理人手中握有 5,000 萬美金的債券部位,若 其債券部位的存續期間(duration)為 8.5 年,而 12 月份到期的公債期貨價格為 91-12,且 合約大小一口為 10 萬美金,若該公債期貨最便宜交割債券的存續期間為 7.5 年,那麼該債 券基金經理人想利用 12 月份到期的公債期貨來規避未來二個月之利率風險,則他需要買 賣多少口 12 月份到期的公債期貨?(5 分
(2) 若該債券基金經理人想利用 12 月份到期的公債期貨,來降低其債券部位的存續期間 (由 8.5 降為 6.0 年),則他需要買賣多少口 12 月份到期的公債期貨?(5 分)
2. (1) 一個歐式上限型認購權證如果履約價格為 K1,上限價格為 K2,且其標的股票現在價格為 S,而年化利率、波動度和現金股利率各為 r、σ 和 q,且到期期限為 T,那麼你如何評價 該檔權證? (4 分)
(2) 券商發行了上述上限型認購權證,那麼他應該如何避險?(3 分)
(3) 如果券商發行了一個重設型認購權證,那麼他會遇到的避險問題為何?(3 分)
3. (1) 投資者為何要買零息的可轉換公司債?一張可轉換公司債中 callable 條款和 puttable 條款 如何影響可轉換公司債的價格?(4 分
(2) Asset swaps on CBs 其交換的現金流量為何? Traders 交易該種商品有何種風險?(3 分)
(3) 利用 delta-neutral 的交易策略來執行可轉換公司債的套利時,何種情況下可以獲利? (3 分)
相關試卷
113年 - 113-3 期貨交易分析人員:期貨、選擇權與其他衍生性商品#125812
113年 · #125812
113年 - 113-2 期貨交易分析人員:期貨、選擇權與其他衍生性商品#125776
113年 · #125776
113年 - 113-1 期貨交易分析人員:期貨、選擇權與其他衍生性商品#119566
113年 · #119566
112年 - 112-3 期貨交易分析人員:期貨、選擇權與其他衍生性商品#118922
112年 · #118922
112年 - 112-2 期貨交易分析人員:期貨、選擇權與其他衍生性商品#116285
112年 · #116285
112年 - 112-1 期貨交易分析人員:期貨、選擇權與其他衍生性商品#115159
112年 · #115159
111年 - 111-3 期貨交易分析人員:期貨、選擇權與其他衍生性商品#112631
111年 · #112631
111年 - 111-2 期貨交易分析人員:期貨、選擇權與其他衍生性商品#111986
111年 · #111986
111年 - 111-1 期貨交易分析人員:期貨、選擇權與其他衍生性商品#107704
111年 · #107704
110年 - 110-3 期貨交易分析人員:期貨、選擇權與其他衍生性商品#111988
110年 · #111988