阿摩線上測驗
登入
首頁
>
微積分與微分方程
>
111年 - 111 高等考試_三級_核子工程:微積分與微分方程#109636
>
題組內容
四、令
(一)求函數 f 之拉普拉斯轉換(Laplace transform)。
其他申論題
(二)求冪級數 之收斂半徑及收斂區間。
#469942
二、令 f ( x, y, z ) =及 B = {( x, y, z ) |1 ≤ x 2 + y 2 + z 2 ≤ 4, y ≥ 0, z ≥ 0} 。 求三重積分之值。
#469943
(一)求函數 f 在點 (1, -1) 之梯度向量(gradient vector)。
#469944
(二)求函數 f 在點 (1, -1) 之方向導數(directional derivative)之最大值。
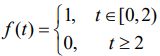
#469945
(二)求初始值問題 y ''(t ) - y (t ) = f (t ), t > 0, y (0) = 1, y'(0) = 0 之解。
#469947
一、甲、乙、丙、丁四人合資設立 A 有限公司(下稱 A 公司),以經營化妝 品製造為業,實收資本額為新臺幣(下同)1,000 萬元,甲出資 300 萬 元、乙出資 300 萬元、丙出資 200 萬元、丁出資 200 萬元。依 A 公司章 程規定: 「第 10 條:本公司設置董事一人,負責執行公司業務及代表公 司。第 11 條:本公司非經全體股東同意,不得為任何保證人。」試問, A 公司如何選出董事?若 A 公司之董事未經全體股東同意,竟然對於其 合作廠商 B 公司所積欠 C 公司之債務 100 萬元為債務承擔,該債務承擔 行為之效力為何?(25 分)
#469948
二、A 股份有限公司(下稱 A 公司)設有 5 席董事、2 席監察人,由甲擔任董 事長,其股票並未公開發行。若甲召集董事會於民國(下同)111 年 3 月 10 日開會時,並未於三日前通知監察人列席陳述意見,董事會則以 3 席 董事出席、過半數董事同意之決議方式,通過出售 A 公司主要營業及財 產之提案,並決議於 111 年 5 月 10 日召開股東臨時會,提請股東會議 決。其後 A 公司之董事會旋即召集股東臨時會,並經代表已發行股份總 數三分之二以上股東出席,以出席股東表決權過半數之同意通過該出售 主要營業及財產之議案。試問:依司法實務之見解,該董事會所為上開 決議之效力為何?又該股東臨時會召開時所為上開決議之效力為何? (25 分)
#469949
三、A 股份有限公司(下稱 A 公司)以經營食品加工為業,共發行 1,000 萬 股,每股面額新臺幣(下同)10 元,其股票並未公開發行。經查 A 公司 設有 5 席董事、1 席監察人,並推選甲擔任董事長。若 A 公司董事會經 全體董事同意作成下列決議: 「本公司本次增資發行 200 萬股,每股發行 價格新臺幣 20 元,除保留 10%由員工承購外,其餘由原有股東,按照 原有股份比例分認。」詎料董事長甲於實際執行新股發行作業時,並未 公告及通知原有股東按照原有股份比例儘先分認,而擅自洽由 B 公司協 議認購該次增資發行之 200 萬股及繳納股款 4,000 萬元。試問:B 公司 之認股行為是否有效?又 A 公司之原有股東可否聲請法院撤銷 A 公司 董事會之上開增資決議?(25 分)
#469950
四、A 公司及 B 公司皆為非公開發行公司。甲、乙、丙為 A 公司之董事,丁 及戊為 A 公司之監察人,甲並擔任 A 公司董事長。又丙、己、庚為 B 公 司之董事,辛、壬為 B 公司之監察人,其中己擔任董事長。試問:若 A 公司擬向 B 公司購買價值新臺幣 5,000 萬元之土地一筆,經 A 公司之 甲、乙、丙全體出席,則丙董事對該土地購買案得否參與討論及表決? 若 A 公司董事長甲於寄發召集通知時,雖漏未通知監察人丁及戊,但若 監察人丁及戊因其他董事之告知,仍列席該次董事會,並未對未收到開 會通知一事表示異議,則該次董事會決議之效力為何?(25 分)
#469951
一、速食麵和冷藏便當,同樣屬於經過簡便處理就可以快速食用的速食類產 品。然而在口味、內容物、添加成分、價格水準及加熱方式等方面,兩 者都有不同之處,消費者對這兩種食品也有不同的消費偏好。請說明公 平交易法上相關市場之意義,並舉出具體之相關市場界定方法,分析判 斷速食麵和冷藏便當這兩種食品是否屬於同一之產品市場。倘若事實資 料有所不足,回答時可透過假設予以補充。(25 分)
#469952