所屬科目:工程數學(應用數學, 線性代數、微分方程、複變函數與機率)
1 假設 A 與 B 為維度相同之方陣(square matrix)且 A, B, A + B 均為可逆(invertible)矩陣,則下列 何者不一定為可逆矩陣? (A) (B) I + AB (C) (D)
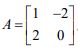
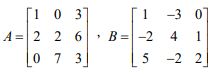
2 假設矩陣 ,則行列式值 為何? (A)(B) (C) (D)
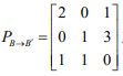
3 若 為從 R 3 的基底 B 轉換至基底 B' = {(1,1,1), (1,1, 0), (1, 0, 0)} 之轉移矩陣(transition matrix),則 B = ? (A) {(3, 2, 2), (2,1, 0), (4, 4,1)} (B) {(3, 4, 2), (2,1, 2), (2, 0,1)} (C) {(3,1, 2), (1, 2,1), (4,1, 4)} (D) {(3, 2,1), (1, 2, 0), (2,1, 0)}
4 下列那一個矩陣無法被對角化(diagonalizable)? (A) (B) (C) (D)
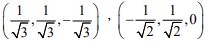
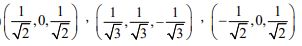
5 下列那一組 R 3 中之向量基於歐幾里得內積(Euclidean inner product)可作為規格化正交基底 (orthonormal basis)? (A) (B)(C) (D)
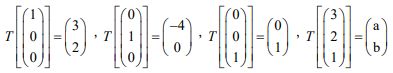
6 設 T 是 R3 到 R2 的線性轉換,,下列何者正確? (A)a -b =8 (B) a - b = 10 (C) a + b = 10 (D)a +b =8
7 矩陣的 LU 分解(LU decomposition),可化為, x = ? (A) x =1 (B)x =2 (C)x =3 (D)x =4
8 設 α 和 β 為矩陣 之特徵值(eigenvalues),則 αβ + α + β = ? (A)3 (B)4 (C)5 (D)6
10 定義 i =√ -1 ,複變數 z = x + iy 與其共軛複數 z = x - iy 。下列那一個複變函數為完整(entire) ,即 在整個複數平面皆為可解析(analytic)? (A) (B) f ( z) = x 2 + y 2 + i 2 xy (C) (D)
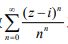
11 複變級數 之收斂半徑(radius of convergence)為何? (A)1 (B)∞ (C)0 (D)
12 計算 ?其中軌跡 , 0 ≤ t ≤ π 。( i = √-1 ) (A) -π i (B)πi (C) -2π i (D) 2π i
13 一階常微分方程式 e x + y y ' = 3x ,下列何者為正確的解答? (A) ,其中 c 為常數 (B) ,其中 c 為常數 (C) ,其中 c 為常數 (D) ,其中 c 為常數
14 二階微分方程式 x 2 y ''- 9 xy '+ 24 y = 0, y (1) = 1, y ' (1) = 10 ,設 y = ax 6 + bx5 + cx 4 + dx3 為其解,下列何者正確? (A)a =1 (B) b = -1 (C) c = -2 (D) d = -4
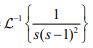
15 反拉普拉斯轉換(inverse Laplace transform) (a cos t + b sin t + ct + d), a, b, c, d 為常數,則: (A) a + b + c + d = -3 (B) a + b + c + d = -4 (C)a +b+c+d = 3 (D)a +b+c+d =4
16 假設 f (t ) = ,其中 為反拉普拉斯轉換(inverse Laplace transform) ,下列何者正確? (A) f (0) = -1 (B) f (0) = 1 (C) f (1) = -1 (D) f (1) = 1
17 定義傅立葉轉換 F (ω ) = ,令 f ( x) = , F (ω ) =? (i=√-1) (A) (B) (C) (D)
18 若 X 為一連續均勻分布(uniformly distributed)在區間 (0, 20) 之隨機變數,可計算得知 X < 10 之 機率為 a, X > 12 之機率為 b, 8 < X < 16 之機率為 c,則 a + b + c = ? (A) (B) (C) (D)
19 將一副正常的撲克牌(52 張牌包含四種花色:黑桃、方塊、紅心、梅花,每種花色各 13 張牌, ACE 為各花色點數 1 的牌)隨機均分為 4 疊,每疊各 13 張牌。這四疊牌每疊恰好包含一張 ACE 牌的機率為何? (A) (B) (C) (D)
20 設 X 和 Y 為連續隨機變數 , 其聯合機率密度函數 ( joint probability density function ) ,令 W = Y/X ,期望值 E (W ) = ? (A) 1/2 (B)1 (C) 3/2 (D)2
(一)請計算 、 所圍出的平行四邊形的面積。
(二)請計算 、 、 所圍出的平行六面體的體積。
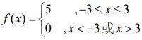
(一) =?
(二)=?