所屬科目:高中指考◆數學乙
2.標準身材的定義是有一身高150公分,肚臍高度90公分的女孩,欲借穿高跟鞋來提高身高與肚臍高度,滿足標準身材的定義。試問該女孩穿多少公分的高跟鞋較恰當。(取最接近的整數)(A) 1 (B) 3 (C) 5 (D) 7 (E)9
3.下圖為函數f(x)=2x2與g(x)3x2的圖形,過原點O作直線分別交兩圖形於A,B兩點。則的最大值m為 (A) 2 (B) 3 (C) 1.5 (D) 1.3 (E)0.6
5. 經濟學上有所謂『72規則』:意指當經濟年成長率維持在r%時,經濟規模實際達到兩倍所需要的最少時間約為年。試利用下表的數據,從選項中選出符合此規則的年成長率。 (A) 9% (B) 8% (C) 6% (D) 4% (E)3%
6. 遊樂區中有一圓形摩天輪,中心軸高22公尺,直徑40公尺,逆時針方向運轉一圈需時15分鐘。當摩天輪開始運轉時,阿美恰坐在離地最近的位置上,x分鐘後,阿美離地的高度可表為y=a sin(bx+c)+d ,a>0且b>0 。試問下列選項有哪些是正確的? (A)a=20(B)a=40(C)(D)c=0(E)d=2
A.已知有5%的男性及0.3%的女性為色盲,又據統計台灣地區新生兒之男女比率為1.1:1,則台灣地區新生兒色盲者中男女比率約為__⑦⑧__:1 (取至整數位,以下捨去)。
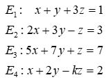
B.設k為一實數,若坐標空間中四個平面 恰交於一直線,則k=__⑨__ 。
D. 在坐標平面上,ΔABC的三個頂點坐標分別為A(0,0),B(2,1),C(3,0),作ΔABC的一個內接正方形DEFG,使DE落在AC邊上。則此內接正方形DEFG的面積為 。
E. 圖案 是由11個正三角形形成,形成過程中內一層的正三角形頂點落在外一層三角形的邊上,且頂點的分點比例一定是 1:9,如下圖所示,即1:9。 則 。
(1)設金星與太陽的平均距離為d金,請以α及β表示d金 (2 分)
(2)若d金為0.7天文單位,且火星與太陽的平均距離比金星與太陽的平均距離多0.9(天文單位),請求出α及β (8 分)