阿摩線上測驗
登入
首頁
>
微積分與微分方程
> 95年 - 95 高等考試_三級_核子工程:微積分與微分方程#40507
95年 - 95 高等考試_三級_核子工程:微積分與微分方程#40507
科目:
微積分與微分方程 |
年份:
95年 |
選擇題數:
0 |
申論題數:
9
試卷資訊
所屬科目:
微積分與微分方程
選擇題 (0)
申論題 (9)
【已刪除】 ⑴
(10 分)
【已刪除】 ⑵
(10 分)
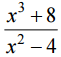
【已刪除】二、令函數 f ( x) =
,求 f 的相對極值(relative extreme)並畫出 f 的圖形。(15 分)
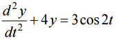
【已刪除】 1 ⑴∫
(10 分)
【已刪除】 ⑵
(10 分)
【已刪除】四、求 power series
的收歛範圍。(10 分)
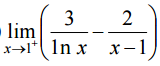
【已刪除】五、當 F ( x, y ) =
,求 F 的相對極值(relative extreme)。(15 分)
【已刪除】 ⑴
(10 分)
【已刪除】 ⑵
(10 分)
相關試卷
111年 - 111 高等考試_三級_核子工程:微積分與微分方程#109636
111年 · #109636
108年 - 108 高等考試_三級_核子工程:微積分與微分方程#77764
108年 · #77764
107年 - 107 高等考試_三級_核子工程:微積分與微分方程#71189
107年 · #71189
106年 - 106 高等考試_三級_核子工程:微積分與微分方程#63436
106年 · #63436
105年 - 105 高等考試_三級_核子工程:微積分與微分方程#54369
105年 · #54369
104年 - 104 高等考試_三級_核子工程:微積分與微分方程#39612
104年 · #39612
103年 - 103 高等考試_三級_核子工程:微積分與微分方程#39720
103年 · #39720
102年 - 102 高等考試_三級_核子工程:微積分與微分方程#39831
102年 · #39831
101年 - 101 高等考試_三級_核子工程:微積分與微分方程#39849
101年 · #39849
100年 - 100 高等考試_三級_核子工程:微積分與微分方程#39850
100年 · #39850