阿摩線上測驗
登入
首頁
>
微積分與微分方程
> 96年 - 96 高等考試_三級_核子工程:微積分與微分方程#40331
96年 - 96 高等考試_三級_核子工程:微積分與微分方程#40331
科目:
微積分與微分方程 |
年份:
96年 |
選擇題數:
0 |
申論題數:
5
試卷資訊
所屬科目:
微積分與微分方程
選擇題 (0)
申論題 (5)
【已刪除】一、求 derivative
cos t
2
dt = ?(20 分)
二、求 indefinite integral ∫ sin √ x dx = ?(20 分) 1
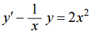
【已刪除】三、求 general solution
。(20 分)
【已刪除】四、求 domain of convergence of the series
=
?
?(20 分)
五、 f ( x, y ) = x
3
− 3 xy + y
3
求 maximal ( x, y ) = (?,?)
minimal ( x, y ) = (?,?) saddle point ( x, y ) = (?,?)(20 分)
相關試卷
111年 - 111 高等考試_三級_核子工程:微積分與微分方程#109636
111年 · #109636
108年 - 108 高等考試_三級_核子工程:微積分與微分方程#77764
108年 · #77764
107年 - 107 高等考試_三級_核子工程:微積分與微分方程#71189
107年 · #71189
106年 - 106 高等考試_三級_核子工程:微積分與微分方程#63436
106年 · #63436
105年 - 105 高等考試_三級_核子工程:微積分與微分方程#54369
105年 · #54369
104年 - 104 高等考試_三級_核子工程:微積分與微分方程#39612
104年 · #39612
103年 - 103 高等考試_三級_核子工程:微積分與微分方程#39720
103年 · #39720
102年 - 102 高等考試_三級_核子工程:微積分與微分方程#39831
102年 · #39831
101年 - 101 高等考試_三級_核子工程:微積分與微分方程#39849
101年 · #39849
100年 - 100 高等考試_三級_核子工程:微積分與微分方程#39850
100年 · #39850