阿摩線上測驗
登入
首頁
>
四技二專統測◆數學A
> 97年 - 97 四技二專統測_共同科目:數學(A)#16213
97年 - 97 四技二專統測_共同科目:數學(A)#16213
科目:
四技二專統測◆數學A |
年份:
97年 |
選擇題數:
25 |
申論題數:
0
試卷資訊
所屬科目:
四技二專統測◆數學A
選擇題 (25)
1.在坐標平面上的平行四邊形ABCD中,若 A、B、C三點的坐標分別為 (-5,4)、(0,-5) 、(4,-8) ,則 D點應落在下列哪一個象限? (A)第一象限 (B)第二象限 (C)第三象限 (D)第四象限
2.
(A) 1 (B) 0 (C) – 1 (D) – 2
3.
(A) 1 (B) 2 (C) 3 (D) 4
4.
(A) – 2 (B) – 1 (C) 1 (D) 2
5. . 判斷下列何者有意義?
(A) log
0.1
5 (B) log
1
10 (C) log
−3
9 (D) log
2
(− 8)
6.下列選項何者正確?
7.
8.
(A) -8 (B) -4 (C) 2-4√2 (D) 2+4√2
9.有一隻螞蟻在平行四邊形ABCD的平面上從A點出發,行走至C點覓食,若∠ABC =150
o
,AB =16,BC = 15 −8√3,則螞蟻由 A點行走至 C點之最短距離為何?
(A) 16 (B) 17 (C) 18 (D) 19
10.設
為平面上的三個向量且「⋅」表向量的內積,若
(A) 6 (B) 7 (C) 8 (D) 9
11. 設
為平面上的兩個單位向量,若其內積為1/2 ,則
的夾角為何?
(A) 30
o
(B) 45
o
(C) 60
o
(D) 90
o
12.
13.
14.
15. 在坐標平面上,設 a , b為實數,若直線y = ax + b 通過點 ( 0 , 6 ) 與點 ( 3 , 0 ),則3a +2 b =? (A) 4 (B) 5 (C) 6 (D) 7
16. 在坐標平面上,設 a , b為實數,若 A、B兩點的坐標分別為 ( a , 1 )、( b , 3 ),且線段AB 的垂直平分線為 2x+ y = 4,則2a+ b =? (A) 1 (B) 2 (C) – 1 (D) – 2
17.滿足不等式
的整數解共有幾個?
(A) 1 (B) 2 (C) 3 (D) 4
18. 在坐標平面上,A ( 2 , 4 )、B ( 2 , – 4 )、C ( 8 , – 2 ) 為圓上相異三點的坐標,若 O ( h , k ) 為其 圓心,則 h + k =? (A) 1 (B) 2 (C) 3 (D) 4
19. .已知有一個拋物線形狀的拱橋,拱頂 ( A點 ) 離水面2公尺時,水面寬度 (BC長 ) 為4公尺,如圖(一)所示,若水面再下降1公尺後,則水面的寬度 (DE 長 ) 為多少公尺?
(A) 2√5 (B) 2√6 (C) 4√2 (D) 4√3
20. 在坐標平面上,
為雙曲線方程式,試求其兩焦點間的距離為何? (A) 6 (B) 8 (C) 10 (D) 16
21.
(A) 2 (B) 2
2
(C) 2
3
(D) 2
4
22.
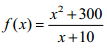
23.設0 ≤ x ≤ 30,若
,則 f(x) 之最小值為何?
(A) 4 (B) 8 (C) 12 (D) 20
24.
(A) 13 (B) 15 (C) 17 (D) 23
25.設F′(x)為函數F(x )的導函數,若F(x) = ln(x + 2)且F′(x) = f(x) ,則由微積分基本定理,試求
?
(A) ln 3 (B) ln 2 (C) – ln 3 (D) – ln 2
申論題 (0)
相關試卷
114年 - 114 四技二專統測_共同科目:數學(A)#137776
114年 · #137776
113年 - 113 四技二專統測_共同科目:數學(A)#121707
113年 · #121707
112年 - 112 四技二專統測_共同科目:數學(A)#117802
112年 · #117802
111年 - 111 身心障礙學生升學大專校院甄試試題_四技二專組_共同科目:數學(A)#118921
111年 · #118921
111年 - 111 四技二專統測_共同科目:數學(A)#107788
111年 · #107788
109年 - 109 四技二專統測_共同科目:數學(A)#85162
109年 · #85162
108年 - 108 四技二專統測_共同科目:數學(A)#76525
108年 · #76525
107年 - 107 四技二專統測_共同科目:數學(A)#73258
107年 · #73258
106年 - 106 四技二專統測_共同科目:數學(A)#61707
106年 · #61707
106年 - 106 四技二專統測_共同科目:數學(A) 1-14 (重複)#61706
106年 · #61706