26.當學童有「扇形的圓心角愈大,面積就愈大」的迷思概念,教師設計了四個扇形如下:
該教師可以選用哪兩個扇形,來協助學童釐清此迷思概念?
(A) 甲、乙
(B) 甲、丙
(C) 乙、丁
(D) 丙、丁
答案:登入後查看
統計: A(184), B(1172), C(293), D(228), E(0) #3120163
統計: A(184), B(1172), C(293), D(228), E(0) #3120163
詳解 (共 5 筆)
#5861572
1、圓心角越大、面積越大的迷思,必要變項是圓心角大小。
2、圓心角越大,面積不會越大的關鍵在半徑,所以半徑也必須不同。>刪除A、D
3、B、C直接計算驗證,刪除剛好符合迷思的C,留下B
圓面積=半徑x半徑x圓周率π
扇形面積=半徑x半徑x圓周率π x圓心角/360
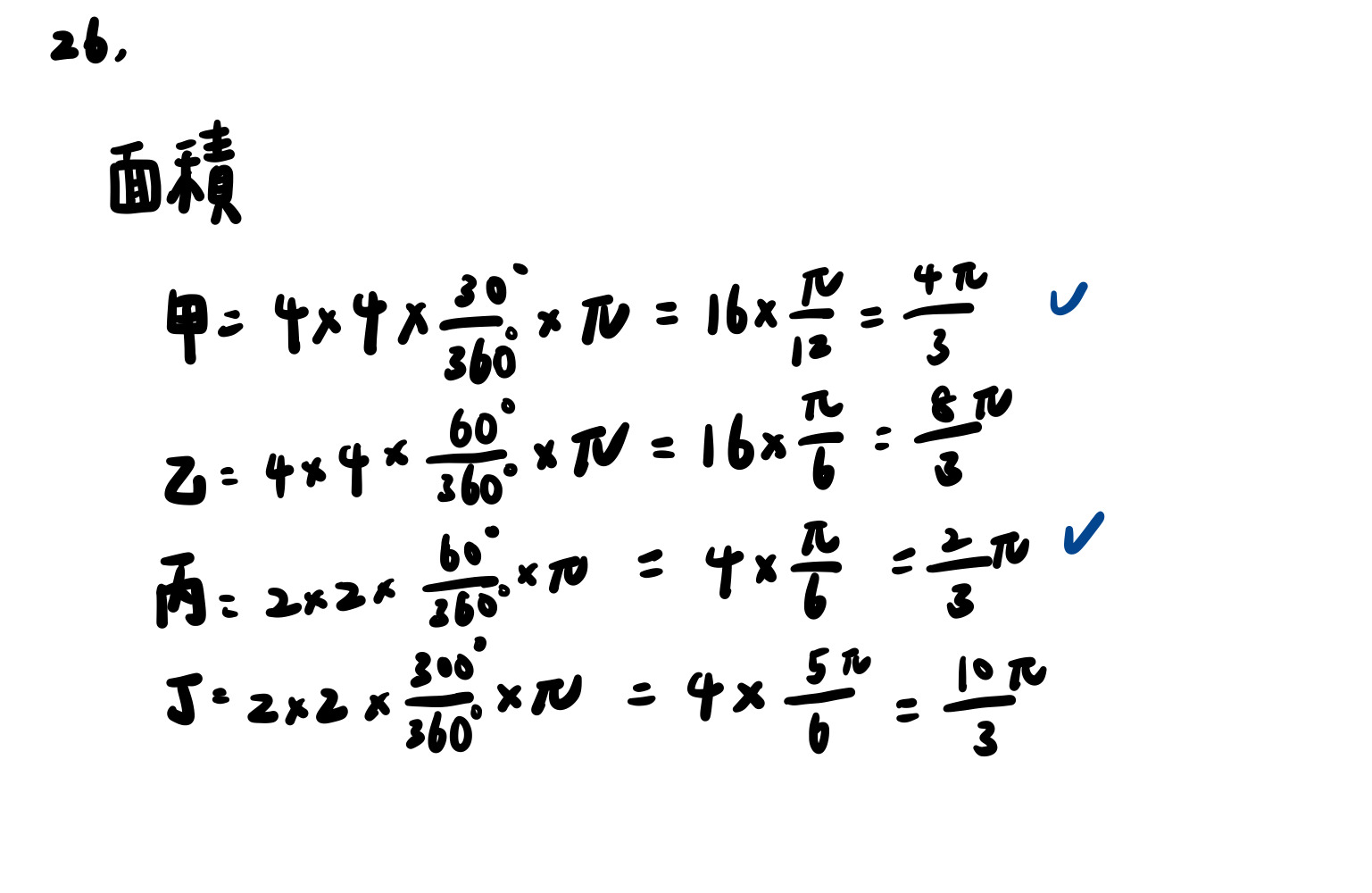
B:甲面積:4x4πx30/360=4/3π
丙面積:2x2π x60/360=2/3π
4/3π > 2/3π 因此甲的圓心角只有30,面積卻比60度圓心角的丙大,可破除迷思。
C:乙面積:4x4π x60/360=8/3π
丁面積:2x2π x300/360= 10/3π
10/3π > 8/3π 丁圓心角大於乙,剛好符合這個迷思,故不選。
31
1
#5895018
26
2
#5883963

113年自編教檢歷屆試題:
https://jaojianpreviousexam.webnode.tw/
6
3
#6128949
首先將個別的面積算出來:(皆須乘以圓周率、除以360圓周角,故在計算時可直接省略)
甲:4*4*30=480
乙:4*4*60=960
丙:2*2*60=240
丁:2*2*300=1200
ㅤㅤ
接著是比較哪個選項比較適合釐清「扇形的圓心角越大,面積就越大」迷思狀況,所以要選擇不符合這個迷思概念的組合,例如圓心角較大,面積卻較小。
丁的角度、面積都最大,怎麼比都贏,故排除(C)、(D)。
乙的角度、面積都比甲丙大,所以不能選(A)甲乙
故,得(B)甲、丙
ㅤㅤ
祝大家考試順利,標準參照60分就是及格就是通過,加油~!!!
3
0