阿摩線上測驗
登入
首頁
>
國營事業◆1.應用力學 2.材料力學
>
101年 - 101 經濟部所屬事業機構_新進職員甄試_土木、機械、航空結構:1.應用力學 2.材料力學#28601
> 試題詳解
試題詳解
試卷:
101年 - 101 經濟部所屬事業機構_新進職員甄試_土木、機械、航空結構:1.應用力學 2.材料力學#28601 |
科目:
國營事業◆1.應用力學 2.材料力學
試卷資訊
試卷名稱:
101年 - 101 經濟部所屬事業機構_新進職員甄試_土木、機械、航空結構:1.應用力學 2.材料力學#28601
年份:
101年
科目:
國營事業◆1.應用力學 2.材料力學
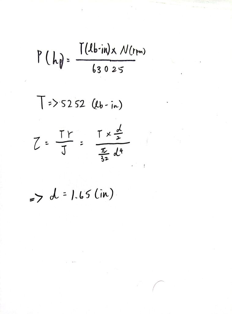
36.—鋼製連接軸由300馬力馬達傳動,轉速為3600 rpm,允許剪應力 為6000 psi,此連接軸之直徑為何?(提示:T
in=ib) n
(A) 1.65 in
(B) 1.85 in
(C) 0.65 in
(D)0.85 in
正確答案:
登入後查看