7.請判斷下列哪一項關於二次函數的y=f(x)=ax2+bx+c=
圖形之敘述是正確的?
(A) a愈小時此拋物線的開口也愈小
(B) a的正負決定拋物線的開口方向及最大值或最小值
(C) b2-4ac≥0時函數圖形為拋物線且與x軸相交於相異二點
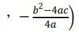
(D) 函數圖形為拋物線且頂點坐標為
答案:登入後查看
統計: A(65), B(427), C(114), D(52), E(0) #2490993
統計: A(65), B(427), C(114), D(52), E(0) #2490993
詳解 (共 2 筆)
#4645675
a的正負值決定開口方向
|a|愈大開口愈大
因此
a>0時,開口方向朝上,值愈大開口愈大
a<0時,開口方向朝下,值愈小開口愈大
b2-4ac>0,有2解,所以有兩個交點
b2-4ac=0,有1解,所以有一個交點
b2-4ac<0,無解,所以有沒有交點
14
0
#4811240
(D)頂點坐標為 

5
0