題組內容

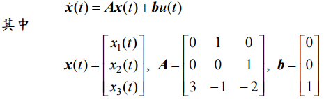
四、考慮一動態系統,其狀態方程式為 
今已知此系統若是利用狀態回饋控制(state-feedback control),即可達到穩定控制 的目的,因為此系統是一個可控系統。

⑴請說明如何檢驗此系統之可控性(controllability)?(10 分)