阿摩線上測驗
登入
首頁
>
控制系統
>
99年 - 99 高等考試_二級_電力工程:控制系統#46277
> 申論題
題組內容
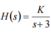
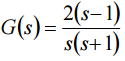
三、有一回饋控制系統如下圖所示,若受控體為
,回饋控制器為
其中 K 為常數,則
⑴此系統的特徵方程式(characteristic equation)為何?(10 分)
相關申論題
⑴系統輸出 Y1 對輸入 U 之轉移函數 Y1/U。(10 分)
#157482
⑵系統輸出 Y2 對輸入 U 之轉移函數 Y2/U。(15 分)
#157483
⑴在不計初值的情況下,試求 Y(s)/U(s)。(5 分)
#157484
⑵此系統之極點(pole)與零點(zero)各為何?(5 分)
#157485
⑶此系統之脈衝響應(impulse response)為何?(15 分)
#157486
⑵利用魯斯準則(Routh’s criterion)決定使系統穩定的 K 值範圍。(15 分)
#157488
⑴請說明如何檢驗此系統之可控性(controllability)?(10 分)
#157489
⑵令狀態回饋控制 u (t ) = − k1 x1 (t ) − k 2 x 2 (t ) − k 3 x3 (t ) ,若要使受控後的系統具有穩定的 特徵根(eigenvalues)分別為−1、−3+j 與−3−j,則 k1、k2 與 k3 的值為何?(15 分)
#157490
(三)試運用奈奎斯特法則(Nyquist stability criterion),判定此系統之穩定度。 (10 分)
#554274
(二)試繪出此系統之奈奎斯特圖(Nyquist plot)。(10 分)
#554273
相關試卷
114年 - 114 高等考試_二級_電力工程:控制系統#131606
114年 · #131606
113年 - 113 高等考試_二級_電力工程:控制系統#123078
113年 · #123078
112年 - 112 高等考試_二級_電力工程:控制系統#116766
112年 · #116766
111年 - 111 高等考試_二級_電力工程:控制系統#111038
111年 · #111038
110年 - 110 高等考試_二級_電力工程:控制系統#101931
110年 · #101931
109年 - 109 高等考試_二級_電力工程:控制系統#91548
109年 · #91548
108年 - 108 高等考試_二級_電力工程:控制系統#79579
108年 · #79579
107年 - 107 第十八屆TAIROA社團法人台灣智慧自動化與機器人協會_自動化工程師證照考試_Level 2/機器人中階:控制系統#72749
107年 · #72749
107年 - 107 高等考試_二級_電力工程:控制系統#72396
107年 · #72396
106年 - 106 高等考試_二級_電力工程:控制系統#65249
106年 · #65249