題組內容

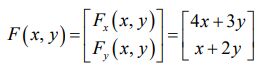
四、考慮一電力場:

(一)如圖一所示,有一半圓路徑 C。若有一帶電粒子沿此路徑移動,從(1, 0)移動至(-1, 0),請求此電力場對此粒子運動所作之功,即求W =, r =(x, y)為粒子質點位置。(10 分)