題組內容
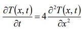
三、考慮一偏微分方程式:
其初始條件為 T(x, 0) = 2, 0 ≤ x ≤ 1 ,邊界條件為 T(0, t) = 0 與
= 1。
(二)請求此問題之特徵函數(eigenfunctions)。(提示:先做座標轉換,移除穩態解,使邊界條件為齊次,再以分離變數法求特徵函數) (20 分)
三、考慮一偏微分方程式:
其初始條件為 T(x, 0) = 2, 0 ≤ x ≤ 1 ,邊界條件為 T(0, t) = 0 與
= 1。
(二)請求此問題之特徵函數(eigenfunctions)。(提示:先做座標轉換,移除穩態解,使邊界條件為齊次,再以分離變數法求特徵函數) (20 分)