阿摩線上測驗
登入
首頁
>
控制系統
>
113年 - 113 高等考試_二級_電力工程:控制系統#123078
> 申論題
題組內容
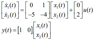
三、對二階動態系統設計包含控制器和觀測器的組合補償器,控制器的規格為臨界阻尼(critically damped)且自然無阻尼頻率(natural undamped frequency)是 10 rad/sec,觀測器的規格亦為臨界阻尼且自然無阻尼頻率是 15 rad/sec,此二階動態系統如下:
(二)求觀測器增益。
相關申論題
(一)設計控制器 M(s)的轉移函數,以減少外界干擾訊號 d(t)的影響,使輸 出訊號 y(t)完全獨立於 d(t)。
#523666
(二) 若輸入訊號r(t)為單位步階訊號時,閉迴路系統的最大超越量(maximum overshoot)和峰值時間(peak time)分別為 30%和 0.2 秒。 當控制器 M(s)如(一)設計時,求 L1 和 L2。
#523667
(一)使用奈奎斯特(Nyquist)準則,求 F 的範圍使閉迴路系統穩定,以及閉迴路系統為臨界穩定時之振盪頻率。
#523668
(二)使用羅斯(Routh)準則,驗證(一)之答案是否相符。
#523669
(三)求 F 的值,使閉迴路系統的相位裕度(phase margin)為 45 度。
#523670
(一)求控制器增益。
#523671
四、考慮如下之二階動態系統:(一)什麼條件下此動態系統為有界輸入有界輸出(BIBO)穩定,但卻非漸進(asymptotically)穩定?
#523673
(二)在(一)之條件下,此動態系統是否為可控制(controllable)或可穩定 (stabilizable)?
#523674
(三)在(一)之條件下,此動態系統是否為可觀測(observable)或可檢測 (detectable)?
#523675
(三)試運用奈奎斯特法則(Nyquist stability criterion),判定此系統之穩定度。 (10 分)
#554274
相關試卷
114年 - 114 高等考試_二級_電力工程:控制系統#131606
114年 · #131606
113年 - 113 高等考試_二級_電力工程:控制系統#123078
113年 · #123078
112年 - 112 高等考試_二級_電力工程:控制系統#116766
112年 · #116766
111年 - 111 高等考試_二級_電力工程:控制系統#111038
111年 · #111038
110年 - 110 高等考試_二級_電力工程:控制系統#101931
110年 · #101931
109年 - 109 高等考試_二級_電力工程:控制系統#91548
109年 · #91548
108年 - 108 高等考試_二級_電力工程:控制系統#79579
108年 · #79579
107年 - 107 第十八屆TAIROA社團法人台灣智慧自動化與機器人協會_自動化工程師證照考試_Level 2/機器人中階:控制系統#72749
107年 · #72749
107年 - 107 高等考試_二級_電力工程:控制系統#72396
107年 · #72396
106年 - 106 高等考試_二級_電力工程:控制系統#65249
106年 · #65249