題組內容
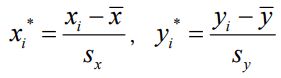
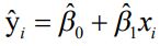
一、若以樣本 y 對 x 做線性迴歸,可得到迴歸估計式
。假設 x 、 y 之樣本平均及標準差分別為
、 sx 、 sy ,樣本相關係數為 r 。今先將 x 、 y 標準化,即: 
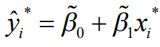
然後以 y * 對 x* 做線性迴歸,得到
。試求:
(二)
的關係。(10 分)
一、若以樣本 y 對 x 做線性迴歸,可得到迴歸估計式
。假設 x 、 y 之樣本平均及標準差分別為
、 sx 、 sy ,樣本相關係數為 r 。今先將 x 、 y 標準化,即: 
然後以 y * 對 x* 做線性迴歸,得到
。試求:
(二)
的關係。(10 分)