阿摩線上測驗
登入
首頁
>
機率統計
>
97年 - 97 國家安全情報特種考試_三等_數理組(選試英文):機率統計#42301
> 申論題
題組內容
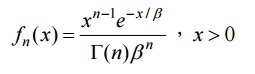
三、 對n ≥ 2,設隨機變數Xn具有 Γ (n, β )分佈,其中 β > 0 ,為一常數。即Xn之p.d.f.為
⑵利用適當的定理,估計n很大時,P(X
n
≤ x)之值,x∈ R。 (16 分)
相關申論題
一、設 A, B 二支球隊進行 7 戰 4 勝的比賽,每場 A 勝之機率為 0.6,B 勝之機率為 0.4。 令比賽所需場次為 N, N ∈{4,5,6,7}。試求 N 之分佈及其期望值 E(N)。(16 分)
#133379
⑴E(Xi), Var(Xi), E(Xi Xj), Cov(Xi , Xj),ρ(Xi , Xj), i≠j。
#133380
⑵E(Um), Var(Um)。
#133381
⑴利用適當的定理,證明n→ ∞ 時,Xn/n機率收斂至 β 。
#133382
⑴試問裝置 ABS 對降低車禍頻率是否有效?
#133384
⑵試問裝置 ABS 對降低車禍後之修理費用是否有效?
#133385
⑶試給出二類型車在車禍後之修理費用之差距期望值之 95%信賴區間。
#133386
⑵試求 x, y 間之相關係數之估計 r。
#133389
(三)求 X = 110 時的預測 Y 值及其 95%信賴區間。
#543995
(二)求誤差平方和 SSE 與均方誤差 MSE。
#543994
相關試卷
114年 - 114 國家安全情報特種考試_三等_數理組(選試英文):機率統計#127776
114年 · #127776
107年 - 107 國家安全情報特種考試_三等_數理組(選試英文):機率統計#74200
107年 · #74200
106年 - 106 國家安全情報特種考試_三等_數理組(試選英文):機率統計#103224
106年 · #103224
105年 - 105 國家安全情報特種考試_三等_數理組(選試英文):機率統計#55668
105年 · #55668
104年 - 104 國家安全情報特種考試_三等_數理組(選試英文):機率統計#41276
104年 · #41276
103年 - 103 國家安全情報特種考試_三等_數理組(選試英文):機率統計#42084
103年 · #42084
102年 - 102 國家安全情報特種考試_三等_數理組(選試英文):機率統計#42091
102年 · #42091
101年 - 101 國家安全情報特種考試_三等_數理組(選試英文):機率統計#42256
101年 · #42256
100年 - 100 國家安全情報特種考試_三等_數理組(選試英文):機率統計#42188
100年 · #42188
99年 - 99 國家安全情報特種考試_三等_數理組(選試英文):機率統計#42296
99年 · #42296