所屬科目:教師檢定(教檢)◆國民小學◆數學能力測驗
2.若二元一次聯立方程式為{,則x+y=? (A) 5 (B) 8 (C) 10 (D) 15
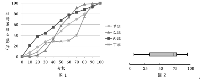
3.某國中甲、乙、丙、丁四個班數學成績的相對累積次數折線圖如圖1,將其中一班的數學成績繪製成盒狀圖如圖2: 問圖2是哪一班的盒狀圖? (A) 甲 (B) 乙 (C) 丙 (D) 丁
4.學童在不同圖示下辨認「平行」,會有不同的難度。對學童而言,下列何者是最容易辨認的? (A)(B) (C) (D)
5.有一 ∆ABC,。分別以和為邊長向外做正方形,如下圖:
下列敘述何者正確?(A) (B) (C) (D) 的大小關係不固定
6.正方形 ABCD 中,O 為正方形的中心點;EF= 2公分、AT = AS = 1公分;甲為 ∆OEF 的面積、乙為四邊形 OSAT 的面積;如下圖: 問下列敘述何者為真? (A) 甲大於乙 (B) 甲等於乙 (C) 甲小於乙 (D) 因為正方形的邊長不知道,所以甲、乙的大小無法比較
9.用一些三角形排出圖1、圖2、圖3、…的圖形,如下圖: 若用300個三角形排出第n個圖(會剩下一些三角形),則n的最大值是多少? (A) 9 (B) 16 (C) 17 (D) 26
11.對於任意正整數 ,問下列哪一個等式恆真? (A) (B) (C) (a - b) - c = a - (b - c) (D)
12.老師選擇一圖形做為「對稱」概念的教材,如下圖: 有關此圖形「對稱」的描述,何者正確? (A) 是線對稱,有四條對稱軸 (B) 是線對稱,有二條對稱軸 (C) 是線對稱,有一條對稱軸 (D) 不是線對稱,沒有對稱軸
13.全班25人的數學成績統計圖如下: 若小明的分數是在第75百分位數,則小明的分數是幾分? (A) 77 (B) 78 (C) 81 (D) 82
14.有一組合圖形,其中每一個四邊形都為正方形、每一個三角形都為直角三角形,如下圖: 若正方形甲的面積為1,則所有正方形(含甲)的面積和為多少? (A) 3 (B) 4 (C) 5 (D) 6
19.有關長方形(5X3)面積的解題活動,有三位學生的解法如下: 依據學生認知發展的先後順序為何? (A) 甲生→乙生→丙生 (B) 甲生→丙生→乙生 (C) 乙生→甲生→丙生 (D) 乙生→丙生→甲生
20.有一個每邊長10cm的正方體透明空盒,如下圖: 老師利用此透明空盒進行容量教學,此透明空盒的容量是多少? (A) 1毫公升 (B) 1分公升 (C) 1公升 (D) 1公秉
21.老師為瞭解學生的扇形概念,畫了四個圖形如下,請學生判斷哪些陰影部分是扇形。 下列選項是不同學生的說法,問哪個說法是正確的? (A) 只有丙和丁是扇形,因為扇形兩邊要一樣長 (B) 只有乙和丁是扇形,因為扇形兩邊應是圓的半徑 (C) 只有甲和丙是扇形,因為扇形的角度應小於90度 (D) 只有丙是扇形,因為扇形的角度要小於90度且兩邊等長
23.某單位針對國內大學生打工原因,調查結果以百分比表示如下:依據這些資料,下列敘述何者最為適切? (A) 用來繪製折線圖 (B) 用來繪製直方圖 (C) 用長條圖顯示打工原因的人數 (D) 用圓形圖顯示打工原因的比例