所屬科目:身心障礙升大專-數乙
1. 若多項式 的餘式 是下列哪一個選項? (A) 11 (B) 12 (C) 13 (D) 14
2. 當實數 x 滿足 ,則實數 k 的最小值是下列 哪一個選項? (A) 2 (B) 3 (C) 4 (D) 5
4. 若 ABCD 為長方形,其中等於下列哪一個選項?
(A) (B) (C) (D)
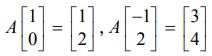
7. 若 2x 2 階方陣 A滿足 ,則 A的反方陣是下列哪一 個選項?
8. 設a 為某一實數。若多項式 ,則方程式 的最大實根是下列哪一個選項? (A) -1 (B) 2 (C) 4 (D) 7
9. 在坐標平面上,若兩直線 y = 3、 y = 6與曲線 y =2x 分別交於P 、Q兩點, 則直線 PQ的斜率是下列哪一個選項? (A) (B) (C) 2 (D) 3
10. 關於 三數的大小關係,請選出正確的選項。 (已知近似值:) (A) (B) (C) (D)
11. 在坐標平面上給定三角形 ABC,若向量 ,則下列哪一個 選項的點 P在 ABC的內部? (A) (B) (C) (D)
12. 坐標平面上有相異四點 A(2, 4), (3,2), - B C 點及原點 O 。已知 ,則△ABC 的面積是下列哪一個選項? (A) 26 (B) 28 (C) 30 (D) 32
13. 袋中有 8 個球,包含 2 個紅球、2 個白球及 4 個黑球。今從袋中任取兩球, 若每一球被取到的機率均等,則取到的兩球是不同色的機率是下列哪一個選 項? (A) (B) (C) (D)
14. 關於方陣 ,請選出正確的選項。
(A) (B) (C) 若 ,則 x =y=0 (D) 若,則 x =y =0
15. 設a b, 都是不為 0 的實數。已知某線性規劃在可行解區域 的條件下,目標函數的最大值為4 2 a b + ,請選出正確的選項。 (A) b=2a (B) b=3a (C) a=2b (D) a=3b
17. 以 A、B 兩種飼料對 288 隻小白鼠實驗,結果發現:每一隻小白鼠每天僅吃 其中一種飼料,而今天吃 A 飼料的小白鼠隔天約有 仍繼續吃 A 飼料,其 餘的改吃 B 飼料;又今天吃 B 飼料的小白鼠隔天約有 仍繼續吃 B 飼料, 其餘的改吃 A 飼料。依此規律,若第一天有 144 隻小白鼠吃 A 飼料、有 144 隻吃 B 飼料,則第三天吃 A 飼料的小白鼠比吃 B 飼料的小白鼠多了幾隻? (A) 10 (B) 14 (C) 18 (D) 22
18. 某獎券行販售一種刮刮樂彩券,且一定可刮中獎金。已知其獎金金額有 2000 元、1000 元及 200 元三種,且刮中獎金 2000 元、1000 元及 200 元的機率分 別為 及 p,其中 p 為某一正數。若每一位顧客用 500 元可購買一張彩 券,則購買一張彩券可獲利的期望值是下列哪一個選項? (A) 200 元 (B) 220 元 (C) 240 元 (D) 260 元
19. 在坐標平面上,某質點自原點開始移動,每次向右或向上移動 1 單位長的距 離。若質點每次移動向右移的機率是 、向上移的機率是 ,則經過 20 次 的移動後,該質點最可能停留的位置坐標是下列哪一個選項? (A) (4,16) (B) (5,15) (C) (6,14) (D) (7,13)